|
|
|
|
|
FCSE | 三维有序介孔ZSM-5催化剂的固相转化合成及其在甲醇制丙烯反应中的应用 |
|
|
论文标题:Solid-conversion synthesis of three-dimensionally ordered mesoporous ZSM-5 catalysts for the methanol-to-propylene reaction
期刊:Frontiers of Chemical Science and Engineering
作者:Weilong Chun, Chenbiao Yang, Xu Wang, Xin Yang, Huiyong Chen
发表时间: 15 Aug 2024
DOI:10.1007/s11705-024-2446-9
微信链接:点击此处阅读微信文章
在催化化学领域,分子筛作为一类具有规则孔道结构和可调酸性的微孔材料,被广泛应用于异构化、裂化等重要反应中,但传统微孔分子筛存在传质阻力大、易因积碳导致失活等问题,限制了其工业应用。为了解决这一挑战,科研人员开发了多级孔分子筛,通过引入介孔结构缩短扩散路径,同时保留了微孔的择形催化特性。

西北大学化学学院陈汇勇教授团队在《Frontiers of Chemical Science and Engineering》发表了题为“Solid-conversion synthesis of three-dimensionally ordered mesoporous ZSM-5 catalysts for the methanol-to-propylene reaction”(三维有序介孔ZSM-5催化剂的固相转化合成及其在甲醇制丙烯反应中的应用)的研究论文,提出了一种基于固体转化法(SC)的简化策略,成功合成了具有三维有序介孔结构的ZSM-5分子筛(3DOm ZSM-5),并系统评估了其在甲醇制丙烯(MTP)反应中的催化性能。
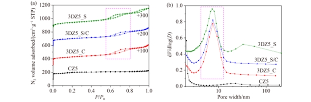
研究以SiO2胶体晶体为硅源,通过两种固体转化路径制备了3DZ5_S/C和3DZ5_S催化剂:前者使用碳填充SiO?胶体晶体,后者直接以SiO2胶体晶体为前体。实验中,团队采用X射线衍射(XRD)、扫描电子显微镜(SEM)、透射电子显微镜(TEM)等手段对材料结构进行了表征,发现SC方法合成的催化剂结晶度显著高于传统受限空间结晶法(CSC)制备的3DZ5_C样品,且保持了规则的三维有序介孔结构。氮气吸附-脱附实验显示,3DZ5_S样品兼具丰富的微孔和介孔,其介孔体积达0.27 cm³·g-¹,层次因子(HF)为0.11,表明微孔-介孔协同效应更优。

图1 (a,e)CZ5,(b,f)3DZ5_C,(c,g)3DZ5_S/C和(d,h)3DZ5_S的扫描电子显微镜图像。

图2 (a,d)3DZ5_C,(b,e)3DZ5_S/C和(c,f)3DZ5_S的透射电子显微镜图像;(g–i)分别为(d–f)中选定区域的高倍透射电子显微镜图像。

图3 CZ5、3DZ5_C、3DZ5_S/C和3DZ5_S的(a)氮气吸附-脱附等温线及(b)BJH孔径分布。
催化性能测试结果表明,与商业微孔ZSM-5(CZ5)相比,3DOm ZSM-5催化剂的MTP反应稳定性和产物选择性均显著提升。其中,3DZ5_S催化剂表现最佳:寿命延长至50小时(CZ5仅9.5小时),丙烯选择性达42.51%,轻质烯烃(C2=-C4=)总选择性74.6%,丙烯/乙烯比(P/E)为6.26,积碳生成速率降低至1.73 mg·gcat-¹·h-¹。NH3程序升温脱附(NH3-TPD)结果表明,所有3DZ5样品的酸量和酸强度分布相似,因此性能差异主要源于介孔结构增强的传质效率和抗积碳能力。

图4 3DZ5和CZ5催化剂的甲醇制丙烯反应性能:(a)甲醇转化率、丙烯及总轻质烯烃(C2=-C4=)选择性随反应时间的变化;(b)反应寿命期内各产物的平均选择性(P/E指丙烯选择性与乙烯选择性之比。
值得注意的是,SC方法大幅简化了传统CSC的合成流程:省去了碳模板制备和去除步骤,总合成时间缩短了57.5%,原料利用率提升至90%,显著降低了化学试剂的消耗。这一改进不仅提高了合成效率,还通过直接利用SiO?胶体晶体的有序结构,避免了模板剂浪费,体现了绿色化学理念。
综上所述,本研究通过固体转化法成功制备了高性能3DOm ZSM-5分子筛,其在MTP反应中表现出优异的稳定性和选择性。SC合成策略的高效性和环保性为多级孔分子筛的规模化制备提供了新思路,有望推动其在能源化工领域的实际应用。
引用信息
Weilong Chun, Chenbiao Yang, Xu Wang, Xin Yang, Huiyong Chen. Solid-conversion synthesis of three-dimensionally ordered mesoporous ZSM-5 catalysts for the methanol-to-propylene reaction. Front. Chem. Sci. Eng., 2024, 18(8): 93 https://doi.org/10.1007/s11705-024-2446-9
本文来自
Porous materials for catalysis and separation

扫描二维码 | 查看原文
原文链接:
https://journal.hep.com.cn/fcse/EN/10.1007/s11705-024-2446-9
《前沿》系列英文学术期刊
由教育部主管、高等教育出版社主办的《前沿》(Frontiers)系列英文学术期刊,于2006年正式创刊,以网络版和印刷版向全球发行。系列期刊包括基础科学、
、工程技术和人文社会科学四个主题,是我国覆盖学科最广泛的英文学术期刊群,其中12种被SCI收录,其他也被A&HCI、Ei、MEDLINE或相应学科国际权威检索系统收录,具有一定的国际学术影响力。系列期刊采用在线优先出版方式,保证文章以最快速度发表。
中国学术前沿期刊网
http://journal.hep.com.cn

特别声明:本文转载仅仅是出于传播信息的需要,并不意味着代表本网站观点或证实其内容的真实性;如其他媒体、网站或个人从本网站转载使用,须保留本网站注明的“来源”,并自负版权等法律责任;作者如果不希望被转载或者联系转载稿费等事宜,请与我们接洽。