|
|
| FCSE 减压渣油与塑料共热解的协同效应及动力学分析 |
|
论文标题:Synergistic effects and kinetics analysis for co-pyrolysis of vacuum residue and plastics
期刊:Frontiers of Chemical Science and Engineering
作者:Chao Wang, Xiaogang Shi, Aijun Duan, Xingying Lan, Jinsen Gao, Qingang Xiong
发表时间: 15 May 2024
DOI:10.1007/s11705-024-2414-4
微信链接:点击此处阅读微信文章
传统石油储量的逐渐枯竭推动了非常规资源的开发利用,而重质油生产过程中产生的减压渣油(VR)因高沥青质、高杂原子含量及强生焦倾向,其高效转化成为炼油工业的关键挑战。与此同时,塑料废弃物因回收不足导致的环境问题日益突出,塑料与VR共热解被视为一种协同处理的潜在路径——塑料可作为氢供体缓解VR热转化的氢不足问题,但VR与低密度聚乙烯(LDPE)共热解的协同效应机制及动力学特征尚未完全明确。

华南理工大学的熊勤钢教授和中国石油大学(北京)的石孝刚副教授等在《化学科学与工程前沿》 (英文)发表了题为“Synergistic effects and kinetics analysis for co-pyrolysis of vacuum residue and plastics”(减压渣油与塑料共热解的协同效应及动力学分析)的研究文章,通过分析VR与LDPE的共热解行为,结合VR的SARA(饱和组分、芳香组分、胶质、沥青质)组分分离实验,揭示了共热解过程的协同机制及动力学规律。
本研究采用热重分析仪,在5、10、20、30 K•min-1的升温速率下,对比了LDPE、VR及其不同比例混合物的热分解行为,并通过Friedman等转化率法计算动力学参数。为了明确协同效应,实验将共热解的实测热重(TG)和微分热重(DTG)曲线与线性加和的理论曲线对比,分析了重量损失及速率的偏差。此外,研究进一步分离了VR的SARA组分,分别与LDPE共热解,探究了各组分对协同效应的贡献。

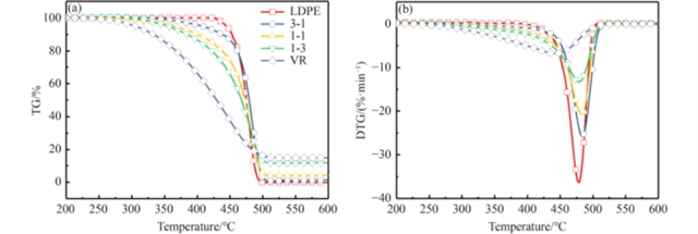
图1 10 ℃·min-1升温速率下LDPE、VR及其混合样品的TG与DTG曲线

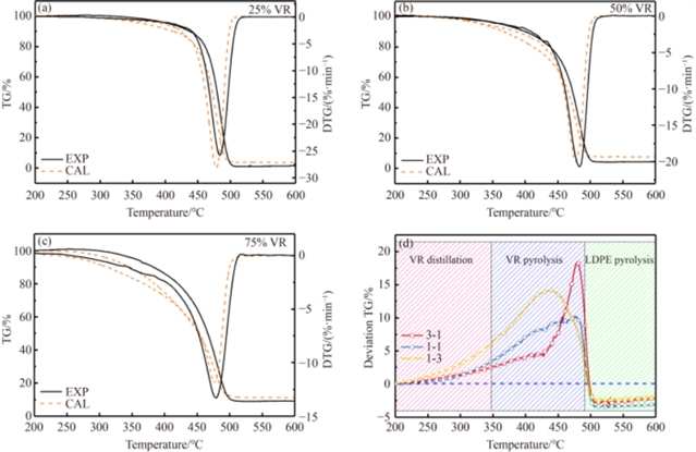
图2 (a–c) 10 ℃·min-1升温速率下混合样品的实验与计算TG-DTG曲线;(d) 混合样品的重量偏差值
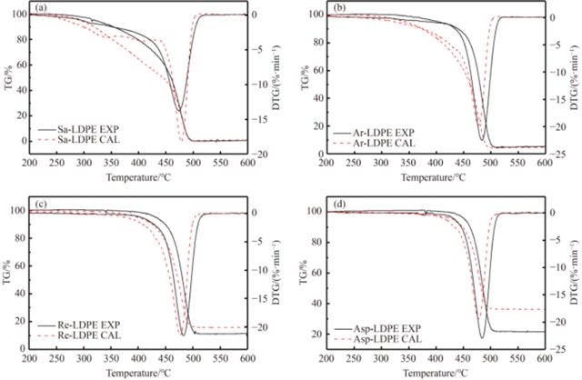
实验结果表明,LDPE与VR共热解存在显著的温度和比例依赖性负协同效应——在200–450 ℃,LDPE的熔融特性阻碍了VR的挥发组分释放,导致重量损失减少,但在480 ℃以上,LDPE分解产生的氢质子促进了VR重组分的裂解,负效应转为正效应,残炭生成量显著低于理论值。SARA组分分析显示,沥青质和胶质作为VR中的重组分,与LDPE的相互作用最强,其共热解残炭的降低幅度最大,表明LDPE的氢供体作用主要针对VR中的高生焦组分。SARA组分的热解特性显示,其表观裂解活性按饱和组分 > 芳香组分 > 胶质 > 沥青质的顺序递减,而共热解实验与计算曲线的对比进一步验证了重组分与LDPE之间存在强相互作用。此外,SARA组分与LDPE共热解的重量偏差值随温度变化的规律,与LDPE对重组分的氢供体促进作用一致。

图3 共热解残炭与各单一组分残炭的对比

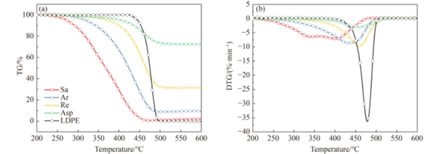
图4 10 ℃·min-1升温速率下SARA组分(饱和组分、芳香组分、胶质、沥青质)的TG-DTG曲线

图5 10 ℃·min-1升温速率下SARA组分与LDPE 1:1混合样品的实验与计算TG-DTG曲线对比

图6 SARA组分与LDPE 1:1混合样品的重量偏差值
动力学研究发现,随着VR比例的增加,共热解的平均活化能从LDPE的225.92 kJ·mol-1降至VR占75%时的161.41 kJ·mol-1,说明共热解体系的反应活性随VR比例提升而增强,这与LDPE分解产生的自由基引发的VR裂解密切相关。
本研究揭示了VR各SARA组分与LDPE的作用差异,明确了共热解协同效应的温度-比例调控规律及动力学特征,为VR与塑料共处理技术的优化提供了理论依据,同时为塑料废弃物的资源化利用与重质油高效转化的协同实现提供了新路径。
引用信息
Chao Wang, Xiaogang Shi, Aijun Duan, Xingying Lan, Jinsen Gao, Qingang Xiong. Synergistic effects and kinetics analysis for co-pyrolysis of vacuum residue and plastics. Front. Chem. Sci. Eng., 2024, 18(5): 55
https://doi.org/10.1007/s11705-024-2414-4
本文来自
Outstanding young chemical engineers and the future chemical engineers

扫描二维码 | 查看原文
原文链接:
https://journal.hep.com.cn/fcse/EN/10.1007/s11705-024-2414-4
特别声明:本文转载仅仅是出于传播信息的需要,并不意味着代表本网站观点或证实其内容的真实性;如其他媒体、网站或个人从本网站转载使用,须保留本网站注明的“来源”,并自负版权等法律责任;作者如果不希望被转载或者联系转载稿费等事宜,请与我们接洽。