|
|
|
|
|
FIE 哈工大李争起教授:新型深度调峰燃烧器的气固流动与快速负荷调节特性 |
|
|
论文标题:Gas-particle flow and rapid load-up characteristics of a novel deep peak regulation burner
期刊:Frontiers in Energy
作者:Chunchao Huang, Zhengqi Li, Yue Lu, Huacai Liu, Zhichao Chen, Xiangjun Long
发表时间:12 Feb 2025
DOI:10.1007/s11708-025-0994-4
微信链接:点击此处阅读微信文章

文章简介
随着可再生能源并网规模扩大,火电机组深度调峰需求日益迫切。然而,现有旋流燃烧技术难以满足我国的调峰要求。本研究提出了一种新型深度调峰燃烧器(DPRB),通过气固两相流实验、工业试验及瞬态数值模拟,系统评估了其流动特性与快速变负荷能力。研究表明,DPRB在超低负荷下仍能形成稳定的回流区,并通过优化气流结构提升燃烧稳定性。
研究背景及意义
在能源结构转型背景下,火电机组需通过深度调峰平衡可再生能源的间歇性。我国燃煤电厂中,劣质煤占比高达40%,其挥发分低、灰分高,导致传统旋流燃烧器难以在低负荷下稳燃。现有技术依赖微油点火、等离子点火或富氧燃烧等辅助手段,但长期使用面临经济性与环保限制。主流旋流燃烧器(如英巴旋流燃烧器、双调风旋流燃烧器等)的最低稳燃负荷普遍高于50%,无法满足35%–30%负荷的调峰需求。此外,快速升负荷能力不足进一步制约了机组灵活性。
燃用劣质煤旋流燃烧器稳燃的核心挑战在于着火需热与供热不匹配。旋流燃烧器的性能高度依赖回流区(RZ),其通过高温烟气回流提供煤粉点燃所需的热量。然而,低负荷下二次风速降低,传统结构难以形成稳定回流区。本研究提出了一种新型深度调峰燃烧器(DPRB),通过结构创新实现回流区形状与尺寸的主动控制,突破劣质煤在15%~30%负荷下的稳燃瓶颈,为燃煤机组深度调峰与可再生能源消纳提供了关键技术支撑。
主要研究内容
本研究通过气固流动实验、工业测试与瞬态数值模拟,系统评估了DPRB的流动特性与燃烧性能。基于雷诺数(Re>104)与弗劳德数(Fr)等相似模化准则,建立1:9缩比模型,利用3D激光颗粒动态分析仪(PDA)测量了速度场、湍流强度及颗粒体积流量。同时,基于Realizable k-ε湍流模型与拉格朗日随机轨迹模型等方程,模拟了20%–30%负荷升程中的动态燃烧过程。
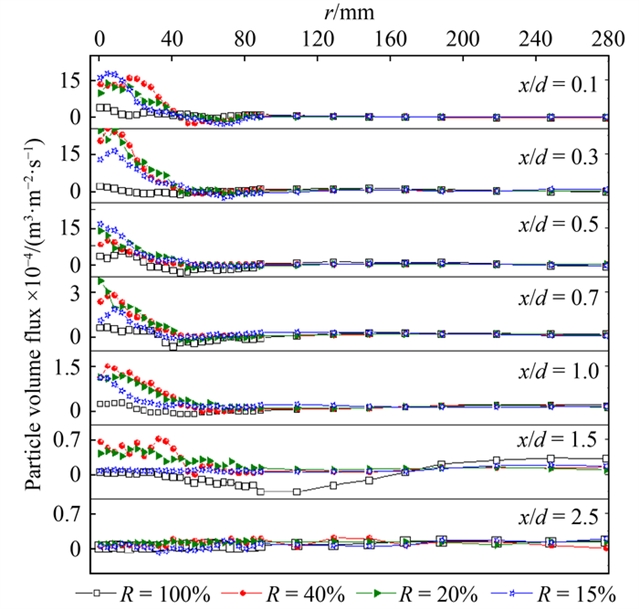
实验发现,DPRB在不同负荷下均存在稳定回流区。满负荷时,中心回流区长度为1.5d(d为出口直径)、直径0.58d;当负荷降至40%、20%与15%时,回流区转为环形,直径分别为0.30d、0.40d与0.39d,长度稳定为1.0d。低负荷下,环形回流区的内边界距燃烧器中心轴仅30 mm,位于一次风区域,有助于高温烟气与煤粉的早期混合。由于三级浓缩环的作用,高浓度颗粒聚集在燃烧器中心区域(图1)。尽管煤粉未直接进入回流区,但高煤粉浓度显著降低了着火热,有利于中心区域的及时着火。

图1 不同载荷下的颗粒体积通量
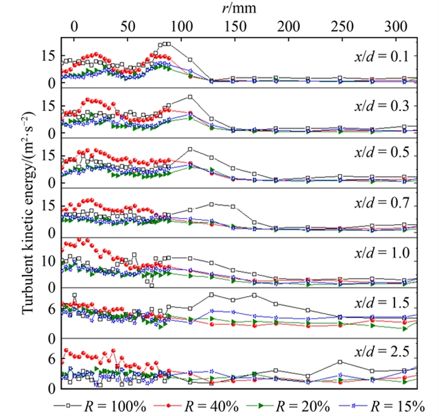
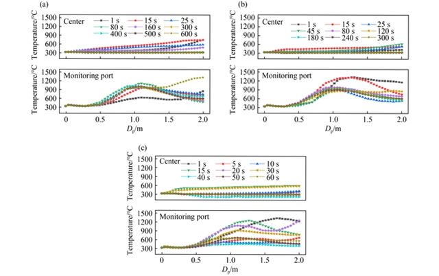
湍流特性分析表明,20%和15%负荷下的湍流强度(TI)峰值高于40%负荷。例如,在20%负荷时,x/d=0.1截面的TI峰值达12%,而40%负荷下为10%。湍流动能(k)的分布显示,一次风区域能量在40%负荷最高,而二次风区域在满负荷占优(图2)。数值模拟进一步验证,DPRB在3%·min-1升负荷速率下,火焰高温区(1300 ℃)覆盖更广,且点火位置距喷嘴0.65–0.70 m,避免局部过热。相比之下,原型燃烧器在相同速率下因一次风速度过高,火焰扩散受限,30秒后温度骤降至600 ℃以下并熄火(图3-4)。

图2 不同载荷下的湍流动能

图3 3%·min-1(℃)下,原型燃烧器随时间的温度场演变

图4 原型燃烧器温度随时间的变化
工业试验数据与模拟结果误差小于5%,证实了模型的可靠性。例如,DPRB在监测端口区域的温度上升速率为158.45 ℃·m-1,实测值为156.56 ℃·m-1,相对误差仅1.19%。此外,DPRB的煤粉着火位置(750℃对应的位置)较原型燃烧器提前0.1–0.3 m,稳燃性能得到明显改善。
研究结论
本研究通过多尺度方法揭示了新型深度调峰燃烧器(DPRB)的气固流动特性与动态响应机制。DPRB通过旋流间隙二次风与直流通风协同作用,形成可控的回流区结构,在15%–30%负荷下实现无辅助稳定燃烧。实验与模拟结果表明,其快速升负荷能力优于原型燃烧器。研究成果为燃煤机组深度调峰提供了创新解决方案,支持可再生能源高比例并网。未来研究需进一步优化燃烧器结构以降低氮氧化物排放,并通过全炉膛模拟与工业试验验证长期运行稳定性。
原文信息
Gas-particle flow and rapid load-up characteristics of a novel deep peak regulation burner
Chunchao Huang1, Zhengqi Li1,2, Yue Lu1, Huacai Liu3, Zhichao Chen1, Xiangjun Long4
Author information:
1. School of Energy Science and Engineering, Harbin Institute of Technology, Harbin 150001, China
2. Zhengzhou Research Institute of Harbin Institute of Technology, Zhengzhou 450046, China
3. Guangzhou Institute of Energy Conversion of the Chinese Academy of Sciences, Guangzhou 510630, China
4. Hubei Chibi Electric Power Co., Ltd., Chibi 437300, China
Abstract:
Existing swirling combustion technology, which relies on faulty coal, is unable to meet deep peak shaving demands without auxiliary methods. This paper developed a deep peak regulation burner (DPRB) to achieve stable combustion at 15%–30% of the boiler’s rated load without auxiliary support. Gas-particle tests, industrial trials, and transient numerical simulations were conducted to evaluate the burner’s performance. At full rated load, the DPRB formed a central recirculation zone (RZ) with a length of 1.5d and a diameter of 0.58d (where d represents the outlet diameter). At 40%, 20%, and 15% rated loads, the RZ became annular, with diameters of 0.30d, 0.40d, and 0.39d, respectively, with a length of 1.0d. At 20% and 15% rated loads, the recirculation peak and the range of particle volume flux were comparable to those at 40% rated load. The prototype burner demonstrated that, without oil support, the gas temperature within 0 to 1.8 m from the primary air outlet remained below 609 ℃, insufficient to ignite faulty coal. As the load rate increased from 20% to 30%, the prototype’s central region temperature remained low, with a maximum of 750 ℃ between 0 and 2.0 m. In contrast, the DPRB’s central region temperature reached 750 ℃ at around 0.65–0.70 m. At a 3%·min?1 load-up rate, when the load increased from 20% to 30%, the prototype burner extinguished after 30 s. However, the DPRB maintained stable combustion throughout the process.
Keywords:
swirl burner; gas-particle flow (GPF) characteristics; numerical simulation; deep peak regulation; rapid load-up capability
Cite this article:
Chunchao Huang, Zhengqi Li, Yue Lu, Huacai Liu, Zhichao Chen, Xiangjun Long. Gas-particle flow and rapid load-up characteristics of a novel deep peak regulation burner. Front. Energy,
https://doi.org/10.1007/s11708-025-0994-4
扫描二维码,阅读原文

通讯作者简介
李争起,哈尔滨工业大学能源科学与工程学院,二级教授,长聘教授,博士生导师,工学博士。曾获教育部新世纪优秀人才计划资助,以“头雁”负责的《清洁能源与热科学技术创新团队》获黑龙江省首批头雁创新团队支持。被哈尔滨锅炉厂有限责任公司聘为首席技术专家。2023年度院士候选人。主要从事碳基燃料低碳降污机理及技术的科研与教学工作。《高性能中心给粉旋流煤粉燃烧技术》获2015年度国家技术发明二等奖(排序第一),《风控浓淡煤粉燃烧技术》获2000年度国家技术发明二等奖(排序第四),获中共中央、国务院、中央军委颁发的中华人民共和国成立70周年纪念章。指导的博士生2人次获全国百博提名奖。出版英文著作2部、中文专著1部。录用及发表国际刊物论文170篇(SCI、EI双检160篇),美国、英国、德国专利授权3项,中国发明专利授权120项,实用新型专利2项。2014-2021年连续八年入选爱思唯尔中国高被引学者榜单。主要社会兼职:《Frontiers in Energy》(中国工程院院刊,SCI源刊)、《Process》(SCI源刊)、《Advances in Energy》、《Science and Technolog》及《热能动力工程》编委、中国煤炭学会煤粉锅炉委员会委员、哈尔滨市环保委员会生态环境专家。
期刊简介
Frontiers in Energy是中国工程院院刊能源分刊,高教社Frontiers系列期刊之一。由中国工程院、上海交通大学和高等教育出版社共同主办。翁史烈院士和倪维斗院士为名誉主编,中国工程院院士黄震、周守为、苏义脑、彭苏萍担任主编。加拿大皇家科学院、加拿大工程院、中国工程院外籍院士张久俊,美国康涅狄格大学校长、教授Radenka Maric,上海交通大学教授Nicolas Alonso-Vante和巨永林担任副主编。

Frontiers in Energy已被SCIE、Ei Compendex、CAS、Scopus、INSPEC、Google Scholar、CSCD(中国科学引文数据库)、中国科技核心期刊等数据库收录。2024年海内外下载量为110余万,截至2025年03月10日,即时Impact Factor为6.0,即时CiteScore为6.8。
Frontiers in Energy免收版面费,且对于录用的文章提供免费语言润色以保障出版质量。进入外审的稿件(不包括评论、新闻热点等短文),第一轮审稿周期约30天,从审稿到录用平均60天。
更多信息请访问:
http://journal.hep.com.cn/fie(国内免费开放)
https://link.springer.com/journal/11708
联系我们:
FIE@sjtu.edu.cn, (86) 21-62932006
qiaoxy@hep.com.cn, (86) 10-58556482

《前沿》系列英文学术期刊
由教育部主管、高等教育出版社主办的《前沿》(Frontiers)系列英文学术期刊,于2006年正式创刊,以网络版和印刷版向全球发行。系列期刊包括基础科学、
、工程技术和人文社会科学四个主题,是我国覆盖学科最广泛的英文学术期刊群,其中12种被SCI收录,其他也被A&HCI、Ei、MEDLINE或相应学科国际权威检索系统收录,具有一定的国际学术影响力。系列期刊采用在线优先出版方式,保证文章以最快速度发表。
中国学术前沿期刊网
http://journal.hep.com.cn

特别声明:本文转载仅仅是出于传播信息的需要,并不意味着代表本网站观点或证实其内容的真实性;如其他媒体、网站或个人从本网站转载使用,须保留本网站注明的“来源”,并自负版权等法律责任;作者如果不希望被转载或者联系转载稿费等事宜,请与我们接洽。