导读
光的偏振在光与物质的相互作用和光量子信息处理的研究中起关键作用。然而,在微纳系统中实现偏振调控较为困难,无源的滤波结构虽然可以操控光学纳腔发出的光子偏振,但是存在光子损耗、并且无法改变纳腔本征态的偏振性质。相比之下,制造具有全偏振态可调控的光学腔则是更加有效的方法,并且也能推进研究光学纳腔中偏振依赖的光与物质相互作用。
近日,北京大学、中国科学院物理研究所、中国科学院半导体研究所等科研单位联合公关,利用两个纳米梁腔组成的光学分子的高可控性,证实了纳腔在亚波长尺度下的耦合由倏逝波主导;同时利用倏逝波耦合引入的非厄米特性,实现了从圆偏到线偏的全偏振态可调控的本征超模,解决了单个纳腔本征态偏振难以调控的问题。这项工作证明了光学分子在自旋分辨的量子电动力学应用中的巨大潜力,同时这种基于倏逝波的调控也为控制光子的动量和其他自由度提供了基础。
该成果以“Full polarization control of photons with evanescent wave coupling in the ultra subwavelength gap of photonic molecules”为题在线发表在国际顶尖光学期刊《Light: Science & Applications》上,中国科学院物理研究所的朱瑞博士生、钱琛江特聘研究员、肖姗博士生为共同第一作者,中国科学院物理研究所的左战春副研究员、王灿研究员和北京大学的许秀来教授为通讯作者。
研究背景
偏振是光的固有特性,它可以作为信息传输的载体,并在光与物质的相互作用和光量子信息处理的研究中起关键作用。在自由空间中,通常可以通过波片和偏振片的组合实现对光偏振的控制,然而在微纳系统中实现波片和偏振片较为困难。同时,通过滤波结构虽然可以操控光学纳腔发出的光子偏振,但是无法改变纳腔本征态的偏振性质并同时存在光子损耗。相比之下,制造具有全偏振态可调控的光学腔是则是更加有效的方法,并且也能推进研究光学纳腔中偏振依赖的光与物质相互作用。
单个纳腔共振能量和模式场分布的操纵已被广泛研究,但由于旋转对称性的破坏,腔模发射的光子通常是线性偏振的。而由多个纳腔组合而成的人工纳米光子结构——光学分子(photonic molecules)为操控光子提供了一个理想平台。当两个纳腔在空间上足够接近时,他们的模式会相互作用,产生强耦合和一对有特定的能级杂化超模,这与氢分子中两原子轨道相互作用产生的能级系统十分类似,因此称为光学分子。这种耦合带来了额外的自由度,通过控制光学分子之间的耦合就可以相干和动态操纵光子的能量和相位。因此光学分子由于其可扩展的架构和优异的光学性能为实现下一代集成光子器件提供了新的方向。
研究进展
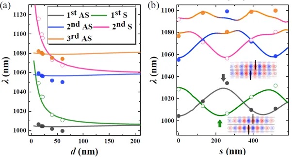
研究团队通过模拟计算,成功设计和制备一组由两根一维光子晶体纳米梁纳腔组成的光学分子。光学分子间的耦合受两个纳米梁之间的间隙(gap)和两微腔中心的相对横向偏移(shift)两个参数调控,并且间隙和偏移可以连续调整。处于强耦合的两个纳腔形成了新的对称(S)与反对称(AS)超模,它们可以通过模式电场分布的相位来识别。

图1.(见原文Fig1)(a)光学分子结构示意图 (b)超模的电场分布,包含一阶与二阶对称(S)模式与反对称(AS)模式的Ex,Ey分量
一般而言,S与AS模式是单腔模式本征态的线性叠加态,分别具有0和π 的相位差,具有对称的能量劈裂。但随着间隙(gap)的减小,出现了不对称的非平庸效应,如图2(a)中S模式的迅速红移,AS模式几乎不变与(b)S与AS模式波腹的额外相移,这些现象超出了厄密系统中耦合模理论的适用范围。研究团队仔细研究了这种不对称的非厄密特性,证明了能量虚分量来自倏逝波耦合效应。

图2.(见原文Fig2)间隙d和偏移s光学分子超模的调控。
随着间隙(gap)进一步减小到亚波长尺度,两个纳米梁之间的耦合转变为倏逝波耦合主导。通过对间隙和偏移的调整,研究人员实现了对超模光子模式的完全偏振控制,这是因为非厄米的倏逝波耦合在不同方向的电场之间引入了相位差,为偏振调控提供了物理基础。对于反对称模式,在模拟计算和实验中都观察到光的偏振角和偏振度强烈依赖于间隙和偏移,从而实现对微腔光子从线性到圆偏振的调控。

图3. (a,b)实验上通过调整间隙实现超模偏振度以及极化角的控制, (c)仿真不同间隙和偏移条件下的偏振调控。
总结与展望
用于实现偏振控制的传统器件原理通常是滤掉发射器产生的一部分光子,分离出特定偏振的光,而这一滤波过程会损失许多光。而光学分子可以直接控制耦合到发射器的局部光场,从而直接控制微腔模式本征态的偏振,偏振控制的效率更高,同时也可以调控腔内的光与物质相互作用。这项工作在理论和实验上证明了在倏逝波耦合体系下使用光学分子对光子的完全偏振控制,结果表明了光学分子在自旋分辨的量子电动力学应用中的巨大潜力,同时这种基于倏逝波的调控也为控制光子的动量和其他自由度提供了基础。(来源:LightScienceApplications微信公众号)
相关论文信息:https://doi.org/10.1038/s41377-025-01794-1
特别声明:本文转载仅仅是出于传播信息的需要,并不意味着代表本网站观点或证实其内容的真实性;如其他媒体、网站或个人从本网站转载使用,须保留本网站注明的“来源”,并自负版权等法律责任;作者如果不希望被转载或者联系转载稿费等事宜,请与我们接洽。