|
|
| 北京航空航天大学张曙光教授团队—液体推进剂晃动诱发RLV再入末端飞行振荡的预测与抑制研究 | MDPI Aerospace |
|
论文标题:Prediction and Suppression of Liquid Propellant Sloshing-Induced Oscillation in RLV Terminal Flight
论文链接:https://www.mdpi.com/2226-4310/13/2/148
期刊名:Aerospace
期刊主页:https://www.mdpi.com/journal/aerospace
如今,可重复使用航天技术飞速发展。新型升力式可重复使用运载器(RLV)采用液体动力推进,在其再入返回跨速域飞行中,空气动力特性复杂,飞行运动容易受到剩余液体推进剂晃动的耦合激励,可能发展成持续振荡甚至振荡发散等不利运动现象,影响飞行安全性。在航天一院高校联合创新基金的支持下,来自北京航空航天大学张曙光教授团队的廖雨舟等人在Aerospace期刊发表了文章,介绍了涵盖液体推进剂晃动的刚-液-控耦合飞行动力学模型,以及对晃动诱发飞行振荡区域的预测,与主动控制的振荡抑制方法。


水平飞行RLV内部液体推进剂晃动示意图
研究过程与结果
作者在文中建立了传递函数形式的液体晃动描述模型,基于此通过频域法深入剖析了液体晃动对飞行的动力学影响机理,并提供控制抑制策略。首先建立再入末端水平飞行RLV的动力学模型。对于液体推进剂部分,对剩余500kg液氧、100kg煤油的典型液位工况进行飞行转动运动下的数值计算,捕获晃动力效应主要线性特性,由此拟合建立飞行俯仰角-晃动纵向力效应、滚转角-晃动横航向力效应的传递函数关系。基于传递函数描述模型,通过线性频域分析和Ma=2到Ma=0.5的飞行仿真研究发现:(1)液体晃动本质上是特定频段内的负阻尼影响,在RLV飞行动力学中纳入液体晃动效应后,在稳定余量不足的再入末端,飞行轨迹失稳发散;(2)液体晃动耦合影响最严重频率“SSF”,出现在低阻尼系统的主导频率处,或阻尼良好系统的晃动力效应最强处,当飞行闭环模态的频率接近SSF时,晃动效应会变得更加严重;(3)增强闭环系统阻尼(DE)、分离耦合频率(FS)、引入晃动频率信息的频率整形补偿(FSC)都是能够有效抑制液体推进剂晃动诱发飞行振荡的主动控制策略,结合使用可获得更好的抑制效果。
 |
| (a) |
(b) |
 |
| (c) |
(d) |


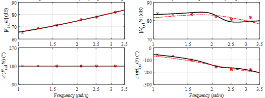
飞行俯仰角-纵向力效应传递函数示例


液体晃动诱发RLV再入末端飞行失稳


不同控制策略的飞行振荡抑制效果
研究总结
本文研究了一型示例升力式RLV液体推进剂晃动引起的再入末端飞行振荡,提出了一种通过传递函数形式描述液体晃动力效应的刚-液-控耦合飞行动力学模型。传递函数形式易于纳入飞行动力学,便于进行频域分析,以获得晃动效应的影响机理,预测具有严重耦合的飞行阶段,并据此提供了抑制晃动效应的主动控制方法。在实际应用中,建议首先确保稳定余量(DE),然后根据实际情况确定是否需要进行晃动补偿(FSC),同时始终监测闭环模态频率(FS),以避免严重的晃动激励。本文的研究提出了具有工程应用价值的液体晃动描述模型和晃动影响抑制策略,也为新型RLV液体晃动与飞行的耦合分析提供了动力学理论支持,有助于提高飞行安全性。
Aerospace期刊介绍
主编:Konstantinos Kontis, University of Glasgow, Scotland, UK
Aerospace期刊致力于发表航空航天科学、工程和技术相关的创新研究,涵盖飞行器设计、推进系统、飞行控制、先进材料、空间科学、航空电子、无人机系统(UAS)、城市空中交通(UAM)、可持续航空、航空安全以及前沿技术等。鼓励跨学科研究,推动航空航天科技发展,欢迎实验、仿真与理论研究的原创成果及综述。

特别声明:本文转载仅仅是出于传播信息的需要,并不意味着代表本网站观点或证实其内容的真实性;如其他媒体、网站或个人从本网站转载使用,须保留本网站注明的“来源”,并自负版权等法律责任;作者如果不希望被转载或者联系转载稿费等事宜,请与我们接洽。