|
|
| 南京师范大学戴传超教授团队-内生真菌全面协调豆科花生的结瘤和氮利用 | MDPI Journal of Fungi |
|
论文标题:Tuning FLO1 Expression via Promoter Engineering Modulates Flocculation Degree and Acetic Acid Stress Tolerance in Saccharomyces cerevisiae
论文链接:https://www.mdpi.com/2309-608X/12/1/47
期刊名:Journal of Fungi
期刊主页:https://www.mdpi.com/journal/jof
研究背景
尽管豆科植物可以形成根瘤并固定大气中的氮,但这种天然氮供应往往无法满足长期农业系统中植物在整个生长周期中的全部氮需求。因此,优化结瘤和根际氮肥利用率之间的平衡对于在低氮输入条件下维持豆科作物的生长和产量至关重要。根际固氮根瘤菌的丰度和多样性直接影响结瘤和固氮效率。此外,氨氧化古菌(AOA)和细菌(AOB)控制铵(NH4+-N)和硝酸盐(NO3--N)之间的氮转化,这不仅形成可供植物吸收的氮形式,还间接调节豆科植物-根瘤菌共生。因此,改善根际微生态环境有望提高长期连作豆科植物整个生长阶段的氮素利用率。然而,将其与促进结瘤和提高氮素利用率联系起来仍然面临着巨大的挑战。
近期,南京师范大学 学院戴传超教授团队在Journal of Fungi发表了题为“Fungal endophyte comprehensively orchestrates nodulation and nitrogen utilization of legume crop (Arachis hypogaea L.)”的研究论文。该研究揭示了内生真菌通过调节根际NH4+/NO3-平衡增强寄主花生与结瘤相关的生理反应的新机制。
研究方法与结果
(1)内生真菌Phomopsis liquidambaris定殖对根际微生物群落、土壤氮形态和花生生理的影响:通过为期两年的田间试验发现Ph. liquidambaris的定殖显著抑制了苗期根际氨氧化古菌(AOA)和细菌(AOB)的丰度。这导致硝酸盐短暂减少和铵可用性增加,从而有利于根瘤形成的生理过程,在生长中后期,Ph. liquidambaris积极重塑了关键功能微生物群(包括固氮菌、AOA和AOB)的组成,从而增加了根际氮的利用率。

图1.Phomopsis liquidambaris的定殖显著影响根际氮转化相关微生物的丰度变化。

图 2.Phomopsis liquidambaris定殖重塑了根际氮转化相关微生物群落结构。

图3.Phomopsis liquidambaris定殖引发根际有效氮动态变化对花生根瘤形成具有促进作用。
(2)真菌诱导的根分泌物对根瘤形成的影响:通过细菌纯培养和qPCR验证实验,研究发现,真菌诱导的特定根系分泌物组分富集了花生专性根瘤菌Bradyrhizobium sp.并促进了花生-Bradyrhizobium共生体的建立。

图4.Phomopsis liquidambaris侵染的花生根系分泌的特定组分可增强根瘤形成相关生物活性。

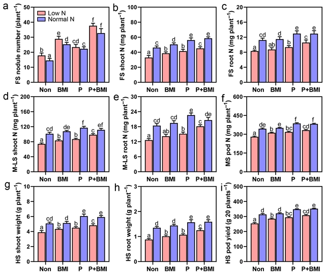
图5. 在低氮肥条件下,将Phomopsis liquidambaris与Bradyrhizobium sp.共同接种可提高连作花生的根瘤形成率、固氮量及生物量。

图6. 根内生真菌Phomopsis liquidambaris在整个生长阶段刺激长期连作豆科作物花生形成根瘤并提高其整体氮利用率的模型。
研究总结
本研究揭示了内生真菌Ph. liquidambaris的定殖对花生根瘤形成及整个生长阶段的根际氮素可利用性的积极影响。从植物生理学和土壤生态学角度看,其潜在机制在于Ph. liquidambaris抑制了根际氨氧化古菌(AOA)和氨氧化细菌(AOB)的生长。这种生物限制调节了根际NO3--N与NH4+-N的平衡,增强了宿主花生根瘤形成的生理响应。同时,真菌定殖诱导的根系分泌物刺激了根瘤形成相关生物过程。上述因素共同促进了花生-Bradyrhizobium sp.共生互作的增强与根瘤形成启动。
本研究成果有望减少氮肥投入,推动可持续农业发展。
Journal of Fungi期刊介绍
主编:David S. Perlin, Hackensack Meridian Health Center for Discovery and Innovation, USA
期刊主题涵盖了病原真菌、医学真菌学、药用真菌、抗真菌药物耐药性、真菌与健康、真菌与皮炎、寄生真菌、真菌分子系统发育、植物真菌和土壤真菌、真菌毒理学、真菌遗传学和进化、真菌生物学、多样性和生态学、真菌和环境互作和真菌应用技术等。目前期刊已被Scopus、SCIE (Web of Science)、PubMed、PMC、CAPlus/SciFinder等数据库收录。
| 2024 Impact Factor |
4.0
|
| 2024 CiteScore |
8.4
|
| Time to First Decision |
18.2 Days |
| Acceptance to Publication |
2.8 Days |
特别声明:本文转载仅仅是出于传播信息的需要,并不意味着代表本网站观点或证实其内容的真实性;如其他媒体、网站或个人从本网站转载使用,须保留本网站注明的“来源”,并自负版权等法律责任;作者如果不希望被转载或者联系转载稿费等事宜,请与我们接洽。