|
|
| 小麦抗性基因在单一感染和混合感染条件下对小麦卷叶螨适应性和小麦条纹花叶病的抗性研究| MDPI Viruses |
|
论文标题:Impact of Wheat Resistance Genes on Wheat Curl Mite Fitness and Wheat Streak Mosaic Dynamics Under Single and Mixed Infections
论文链接:https://www.mdpi.com/1999-4915/17/7/1010
期刊名:Viruses
期刊主页:https://www.mdpi.com/journal/viruses
1. 研究背景
小麦条斑花叶病(WSM)是美国大平原地区小麦生产的重大威胁,该病害会由小麦卷叶螨(WCM,Aceria tosichellaKeifer)传播的小麦条斑花叶病毒(WSMV)和小麦花叶病毒(TriMV)引发,这些病毒可单独或混合感染都会导致小麦患病并造成产量损失。目前防控该病害侧重于综合虫害管理(IPM)方法,移除有利于小麦卷叶螨生长的植物,种植携带抗性基因的小麦品种,相关抗性基因包括针对WCM的Cmc3与Cmc4,以及针对病毒的Wsm1和Wsm2。然而,这些抗性机制如何影响媒介生物学特性及病毒传播,尤其是在田间日益普遍的WSMV与TriMV混合感染背景下,尚缺乏全面的研究。近期Alliance of Pest Control Districts的Saurabh Gautam博士及其团队在Viruses期刊发表相关研究文章,选取9个携带不同抗性基因的小麦品种,系统探究WSMV与TriMV单一和混合感染条件下,不同抗性基因型小麦品种的病害发展情况、病毒积累量及对小麦卷叶螨适应性的影响。
2. 研究内容
研究选用了包括一个易感品种(TAM304)和九个分别携带Wsm1、Wsm2、Cmc3和/或Cmc4基因的抗性小麦品种。通过机械接种和螨虫接种相结合的方式,在温室(模拟初秋温暖的气候条件)中,建立了WSMV单感染、TriMV单感染、WSMV+TriMV混合感染以及未感染的对照组。系统监测各品种的病害潜育期、症状严重程度和病毒积累量。同时测定小麦卷叶螨在不同处理小麦叶片上从卵发育到成虫的时间与繁殖力(产卵量),并利用qRT-PCR技术定量分析了从不同处理植株上获取的小麦卷叶螨体内的病毒积累量。
表1 研究使用的麦类品种

不同小麦品种在WSMV单感染、TriMV单感染及两者混合感染下的感染率无显著差异,但除携带Wsm2基因的Joe品种外,仅感染TriMV植株的病害症状出现的时间最长,而感染WSMV或混合感染(WSMV+TriMV)的植株,症状出现得更快(图1)。

图1 不同品种小麦植株在感染带病毒的螨虫后出现小麦条纹花叶病特异性症状所需的中位时间
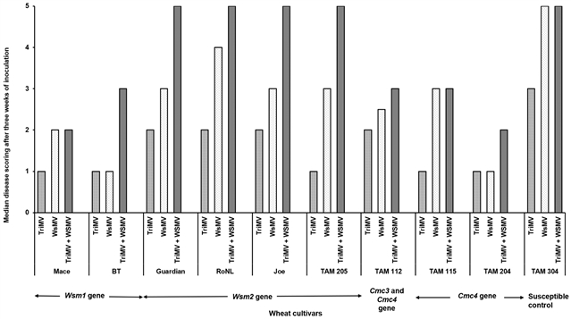
所有品种中,混合感染(WSMV+TriMV)引起的病害严重度评级最高(图2)。其中,携带Wsm2基因的品种在混合感染下的病害严重度尤为突出,而携带Wsm1或Cmc3/Cmc4基因的品种,病害症状相对较轻。

图2 感染携带TriMV和/或WSMV螨虫的小麦植株(易感和抗性)的小麦条纹花叶病分级情况
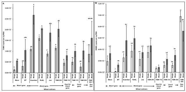
植株内病毒积累量与病害严重程度情况基本一致(图3)。TriMV和WSMV在混合感染植株中的积累量显著高于单感染,只有易感植株的WSMV积累量的混合感染低于单感染。

图3 不同遗传背景(易感和抗性)的小麦植株在感染携带TriMV和/或WSMV的螨虫后病毒积累情况
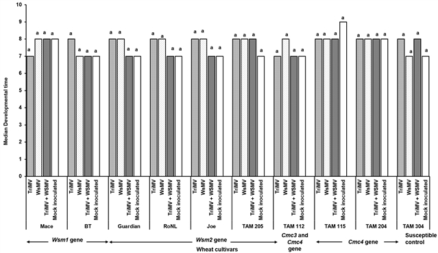
小麦卷叶螨从卵发育到成螨的时间约7-9天,在不同小麦品种、不同病毒感染状态(未感染、单感染、混合感染)之间均无显著差异(图4)。

图4 未感染和感染(TriMV和/或WSMV)的不同遗传背景的小麦植株上小麦卷叶螨的发育时间
在携带Wsm1或Wsm2基因的品种及易感对照上,所有类型病毒感染(WSMV、TriMV或混合)植株上的螨虫产卵量,均显著低于未感染植株。在携带Cmc3和Cmc4基因的品种上,感染植株与未感染植株上的螨虫产卵量无显著差异(图5)。

图5 未感染和感染(TriMV和/或WSMV)的不同遗传背景的小麦植株上小麦卷叶螨的繁殖力
螨虫体内TriMV和WSMV积累量受小麦品种遗传背景影响显著。携带Cmc3和/或Cmc4基因的品种上,取食的螨虫体内TriMV和WSMV积累量显著低于携带Wsm2基因的品种(图6)。螨虫体内的病毒积累量与其所取食的植株体内的病毒积累量一致(图3、图6)。

图6 不同遗传特性的小麦植株感染了TriMV和/或WSMV后,取食螨虫体内病毒的积累情况
3. 研究总结
该研究打破了之前对WSMV是小麦条斑花叶病主要致病因子的认知,证实TriMV在混合感染中为关键驱动因素。携带Wsm2基因的品种的症状严重程度和病毒积累量均显著高于携带Wsm1、Cmc3或Cmc4基因的品种,且其抗性可能因温度升高和无法抵御TriMV而失效。携带Wsm1、Cmc3或Cmc4基因的植株在混合感染中表现更稳定。混合感染植株中TriMV积累会转化为螨虫体内TriMV的积累,这可能导致螨虫传播TriMV的能力增强。本研究明确了不同抗性基因的优劣,了解病原体在田间的动态和传播,有利于制定有效的小麦条斑花叶病防治策略。未来还加大力度对现有抗性来源进行鉴定,发现新的抗性,并将其导入优良小麦品种。
4. 作者介绍
本论文的第一作者Saurabh Gautam是美国Alliance of Pest Control Districts的研究员,着重研究植物、昆虫和昆虫传播的病原体之间的三重互作关系。通讯作者Kiran R. Gadhave是德克萨斯农工大学农业生命研究与推广中心的助理教授,他的研究重点是探索影响媒介-病原体-植物相互作用的分子和生态因素,并创新病虫害防治策略。本研究由德克萨斯农工大学农业生命研究中心昆虫媒介疾病研究基金资助。
期刊介绍
Viruses(IF 3.5, CiteScore 7.7,https://www.mdpi.com/journal/viruses) 创刊于2009年,专注于病毒学领域研究。目前被SCIE (Web of Science)、PubMed、Scopus、MEDLINE等重要数据库收录。2024 年其影响因子为 3.5 (JCR 分区病毒学位于Q2),CiteScore 7.7,分区位于病毒学 / 传染病学 Q1)。西班牙病毒学会、意大利病毒学会、加拿大病毒学会等,均与Viruses达成合作,会员享受文章处理折扣。
期刊Scope:Viruses是一本专注于病毒相关研究的开放获取期刊,涵盖诸多关键领域,病毒感染、病毒分类、病毒病原体、类病毒、病毒免疫和抗病毒治疗、噬菌体、病毒结构与基因组、病毒演化和病毒感染动态研究,为国际病毒学研究提供了一个前沿平台。发表原创性研究论文、综述、通讯、会议报告及简讯等。
特别声明:本文转载仅仅是出于传播信息的需要,并不意味着代表本网站观点或证实其内容的真实性;如其他媒体、网站或个人从本网站转载使用,须保留本网站注明的“来源”,并自负版权等法律责任;作者如果不希望被转载或者联系转载稿费等事宜,请与我们接洽。