|
|
| 中国科学院上海高等研究院团队联合西南科技大学团队——X射线小角散射研究脂质纳米粒子的介观结构 | MDPI Membranes |
|
论文标题:Mesoscopic Structure of Lipid Nanoparticles Studied by Small-Angle X-Ray Scattering: A Spherical Core-Triple Shell Model Analysis
论文链接:https://www.mdpi.com/2077-0375/15/5/153
期刊名:Membranes
期刊主页:https://www.mdpi.com/journal/membranes
作者简介:
• 第一作者
姓名:李豪
机构:西南科技大学
研究方向:主要从事同步辐射X射线小角散射、LNP的微流控制备和表征分析研究。
• 通讯作者
姓名:李娜
机构:中国科学院上海高等研究院
研究方向:同步辐射溶液散射方法学及其在软物质领域应用研究
• 通讯作者
姓名:田强
机构:西南科技大学
研究方向:小角散射技术、纳米粒子、胶体与界面
文章概述
中国科学院上海高等研究院国家蛋白质科学研究(上海)设施生物小角X射线散射团队及其合作者,在Membranes期刊发表了文章,介绍了基于同步辐射X射线小角散射(SAXS)技术建立的球形“核 三壳层”理论模型及其在解析脂质纳米粒子(LNPs)精细内部结构中的应用。该研究充分发挥了同步辐射的高通量优势,结合理论模拟、微流控实验与配方调控,实现了对LNPs膜层参数与周期性组装结构的定量表征,从而验证了模型的有效性。该项研究对LNPs纳米药物递送系统的结构导向设计与质量控制具有重要意义。
研究背景
LNP作为核酸药物递送的核心载体,已成功应用于mRNA疫苗、siRNA疗法及基因编辑等领域,展现出巨大临床潜力。然而,其复杂多组分自组装结构——包括脂质层排列、mRNA封装状态与表面修饰等,直接影响药物包封效率、递送稳定性和疗效。目前常用的表征方法(如动态光散射、冷冻电镜)在分辨率、统计代表性或样品制备方面存在局限,难以实现对其内部介观结构的系统解析。同步辐射溶液SAXS具有高亮度、高分辨和近生理环境表征的优势,为揭示LNP结构动态提供了有力工具。尽管如此,现有通用模型仍难以对LNP这类高度复杂组装体系实现定量结构解析,因此发展能够关联其结构与功能的精准模型,已成为指导递送系统理性设计的关键需求。
研究过程与结果
作者根据LNPs的结构特点和散射长度密度分布的傅里叶变换,构建了多分散球形核-三壳层小角散射模型。其中,三壳层分别对应内部混合脂质膜层、中间亲水性头基膜层和外部PEG修饰层。进一步结合高斯函数,该模型可用于解析负载mRNA的LNPs微结构。通过最小二乘法拟合获取膜层厚度、散射长度密度及尺寸分布等参数,揭示了LNPs的复杂组装行为。

球形核-三壳层小角散射数据分析模型
研究发现,对于空载LNPs,σ/R0等于0.10(σ表示标准差,R0表示平均半径),表现出良好的单分散性,内部混合脂质膜层的厚度(t1)为2.04 nm。对于mRNA-LNPs,σ/R0略有增加,说明单分散性有所下降;t1略有减小(1.85 nm),亲水头基层的散射长度密度下降了20%。mRNA与阳离子脂质(ALC-0315)在LNP内部形成周期距离为4.94 nm的组装结构,显著影响了膜层中脂质分子间的相互作用。

空载和负载LNP的SAXS数据
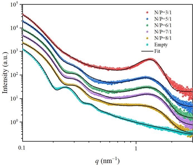
脂质组分比例调控实验表明:较高氮磷比(N/P = 8: 1)可提升mRNA-LNPs的粒径均一性;较低N/P比(3: 1)更利于形成mRNA-阳离子脂质组装结构;N/P= 5: 1时,mRNA-LNPs综合性能最优。适量增加PEG化脂质(ALC-0159)的含量(1.8%)可改善LNPs的组装能力、粒径均一性及包封率。不同类型可电离脂质(MC3、SM-102、ALC-0315)对核酸包封效率及膜层结构影响显著,其中MC3与SM-102表现出更高的包封效率及更致密的膜层排列。

不同氮磷比LNP的SAXS数据
研究总结
本研究基于同步辐射SAXS技术,发展了一种球形“球形核-三壳层”结构模型,能够同时解析LNP的核心区、内层脂质壳、中间亲水头基层以及外层PEG冠的结构参数。通过对比分析空载LNP与mRNA负载LNP的实验数据,发现mRNA的引入显著增加了体系的多分散性,改变了中间壳层的散射对比度,并导致PEG冠层密度明显升高,反映出核心收缩与表面结构重排效应。进一步系统考察了不同N/P条件下LNP的结构演化规律,发现随N/P升高,颗粒尺寸均一性提高,但核酸–脂质复合结构的周期有序性逐渐减弱,指示存在兼顾包封效率与结构稳定性的最优N/P区间。该研究验证了同步辐射SAXS在复杂纳米药物体系结构表征中的独特优势,为核酸递送载体的理性设计与质量控制提供了定量化结构依据。
Membranes期刊介绍:
主编:Spas D. Kolev, The University of Melbourne, Australia
期刊主题涵盖非生物膜和生物膜科学及技术,包括膜动力学、膜的制备和表征及其在化工、环境、能源、医学和食品工业中的应用等方向,也包括膜化学、物理、工程和生物学等研究领域。
|
2024 Impact Factor
|
3.6
|
|
2024 CiteScore
|
7.9
|
|
Time to First Decision
|
15.3 Days
|
|
Acceptance to Publication
|
3.3 Days
|
特别声明:本文转载仅仅是出于传播信息的需要,并不意味着代表本网站观点或证实其内容的真实性;如其他媒体、网站或个人从本网站转载使用,须保留本网站注明的“来源”,并自负版权等法律责任;作者如果不希望被转载或者联系转载稿费等事宜,请与我们接洽。