|
|
| 多分数阶混沌系统的实时同步:在安全通信中的应用研究 | MDPI Fractal Fract |
|
论文标题:Real-Time Synchronisation of Multiple Fractional-Order Chaotic Systems: An Application Study in Secure Communication
论文链接:https://doi.org/10.3390/fractalfract8020104
期刊名:Fractal Fract
期刊主页:https://www.mdpi.com/journal/fractalfract
研究背景与意义
分数阶微积分凭借模型泛化性、长记忆性等优势,成为跨领域的优质建模工具。而混沌理论聚焦于对初始条件高度敏感的动力学行为,混沌系统因复杂且不可预测的特性,在安全通信等控制领域展现出重要应用价值。分数阶混沌系统(FOCS)更是结合二者优势,成为安全通信领域的研究热点。分步滑模观测器(SBS-SMO)是实现FOCS同步的有效手段,但传统应用中存在观测器参数随机选择、性能难以最优的问题,且分数阶混沌系统同步的理论成果向硬件落地时,还面临微控制器内存限制、电子元件噪声干扰等工程问题,制约了其在实时安全通信中的实际应用。
在此背景下,来自罗马萨皮恩扎大学和杰勒法大学的研究团队,将SBS-SMO 应用于收发两端 FOCS 的同步控制中,创新性引入哈里斯鹰优化(HHO)算法优化观测器参数,提出了一种创新的通信安全方法,以实现系统最优同步。同时,依托 Arduino 微控制器及相关电子元件完成了实验验证,为分数阶混沌系统在实时安全通信领域的应用提供了思路,也为该领域的理论研究与工程转化提供了实践参考。
理论依据
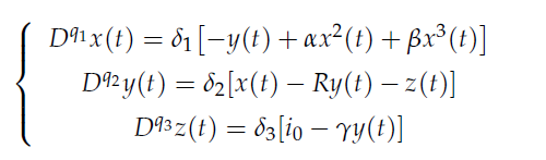
分数微积分可对诸多电磁现象进行建模,受蔡氏振荡器等经典混沌系统启发,本文发射端原始模型为

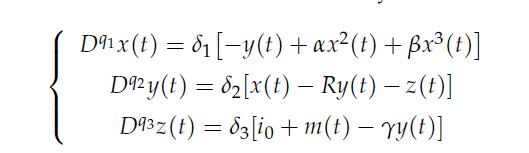
并对其进行修改,将秘密信息 m(t) 嵌入到 z(t)的三阶导数项中,得到方程
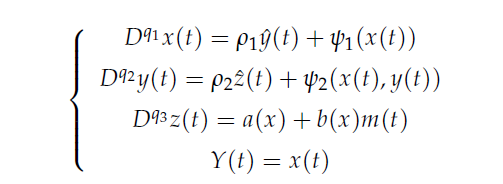
在接收端,为了适配SBS-SMO的同步需求,研究人员重构了对应的系统方程

HHO算法应用
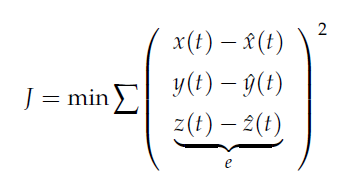
本文采用HHO算法来确定接收系统的最优参数,从而实现收发两端的同步,其整体算法框架如图 1 所示。该算法用于求解一个凸优化问题,该问题以目标函数
的形式表示,核心目标是最小化发射器与接收器状态之间的均方误差(MSE)。通过设置搜索代理和迭代次数,求解出观测器的最优参数 [μ1,μ2,μ3]。图2 是本文所提出的所提出的安全数据传输方案。

图1:HHO算法结构

图2:本文所提出的所提出的安全数据传输方案
实验验证与应用效果
研究利用 SBS-SMO 的同步与未知输入估计特性,成功恢复了正弦波、方波、锯齿波和语音等多种类型的加密信号,且均方误差(MSE)均低于已有研究,尤其是在语音信号恢复过程中实现了MSE接近零,展现出优异的信息恢复精度。同时,安全性分析表明,仅对发射端初始状态做微小调整,接收端便完全无法恢复信息。团队基于 Arduino 微控制器搭建了实时安全通信平台,通过优化电路电容提升了 NRF24L01 无线模块的性能,采用四阶Rung Kutta法解决了微控制器内存限制,并结合随机滤波器对恢复信息进行去噪处理,最终得到的实验结果证实了方案在数值层面的有效性,以及在实验领域的应用可行性。

图3:实时硬件实验验证示意图
Fractal and Fractional期刊介绍
主编:Carlo Cattani, University of Tuscia, Italy
期刊主题涵盖包括分形和分数阶微积分基础研究及其在不同科学和工程领域中的应用研究。现已被 SCIE (Web of Science)、Scopus 等重要数据库收录,JCR category rank: 22/136 (Q1),中国科学院2区。
|
2024 Impact Factor
|
3.3
|
|
2024 CiteScore
|
6.0
|
|
Time to First Decision
|
19.3 Days
|
|
Acceptance to Publication
|
2.8 Days
|
特别声明:本文转载仅仅是出于传播信息的需要,并不意味着代表本网站观点或证实其内容的真实性;如其他媒体、网站或个人从本网站转载使用,须保留本网站注明的“来源”,并自负版权等法律责任;作者如果不希望被转载或者联系转载稿费等事宜,请与我们接洽。