|
|
| BioTech “环境生物技术”栏目——关注生物技术在环境领域的前沿研究 |
|
期刊名:BioTech
期刊主页:https://www.mdpi.com/journal/biotech
栏目介绍
“环境生物技术”栏目是BioTech 期刊5大学科栏目之一,该栏目由多位来自全球的知名学者担任编委会成员,包括来自葡萄牙阿尔加维大学海洋科学中心的Luísa Barreira教授,意大利卡利亚里大学的 Elena Tamburini 教授,中国科学院沈阳应用生态研究所杨毅研究员和爱尔兰都柏林大学的胡沅胜博士等环境生物技术和微生物领域的知名学者为该栏目提供学术支持。目前,该栏目寻求此领域的优秀专家学者加入我们期刊编委团队,有意向学者可以发送个人简历到期刊编辑部邮箱(biotech@mdpi.com)进行申请。
栏目编委

Luísa Barreira(葡萄牙阿尔加维大学海洋科学中心)Luísa Barreira是阿尔加维大学科学与技术学院化学与药学系的副教授。她拥有环境科学与技术领域的博士学位,目前是“MarBiotech”项目中“海洋生物技术应用的创新与研究”部分的高级研究员,该项目致力于从微藻中生产生物燃料及其他生物产品(如磷脂、多不饱和脂肪酸),以及在海洋生物(如微藻、海藻、海草、盐生植物和无脊椎动物)中寻找具有生物活性的天然产物(抗氧化剂、抗肿瘤剂、抗糖尿病剂、抗肥胖剂、抗炎剂和抗寄生虫剂)。她目前指导着 3 名博士生,发表了超过 80 篇论文,被引用次数超过 2500 次。

Elena Tamburini(意大利卡利亚里大学)
Dr. Elena Tamburini 于1996年毕业于佛罗伦萨大学生物科学专业,2000年,在帕维亚大学获得遗传科学博士学位。其研究工作从1994年到2002年一直在佛罗伦萨大学进行。自2002年,Dr. Elena Tamburini 在卡利亚里大学建立了环境微生物学和微生物生物技术小组。研究兴趣主要集中在微生物生物技术在可持续发展和循环经济中的应用。

杨毅 研究员(中国科学院沈阳应用生态研究所)
杨毅,博士,研究员,博士生导师。获得中国科学院率先行动“BR计划”,辽宁省“兴辽英才计划”青年拔尖人才,沈阳市拔尖人才等。2007、2009年于武汉大学获得环境工程、法学双学士学位、环境工程硕士学位;2012、2016年于美国田纳西大学获得环境工程硕士和博士学位;2017年至2018年在美国佐治亚大学海洋科学系从事博士后研究;2018年5月进入中国科学院沈阳应用生态研究所工作。多年来一直从事厌氧环境微生物及其应用研究,分离鉴定与功能表征多株厌氧微生物如有机卤呼吸细菌Dehalogenimonas、Trichlorobacter、Sulfurospirillum、Dehalobacter,发酵菌Clostridium,氨基酸发酵菌Youngiibacter,产乙酸菌Acetobacterium,硫酸盐还原菌Desulfoscipio,红球菌属Rhodococcus等。近年来主持国家自然青年、面上科学基金项目,中国科学院基础前沿科学研究计划从0到1原始创新项目,“场地土壤污染成因与治理技术”重点专项子课题、科技部重点研发国际合作等项目。先后在ISME、ES&T、mBio、Microbiome等英文期刊发表论文40多篇,在中文核心期刊发表11 篇。担任Biotech编委、《微生物学通报》编委,《应用与环境生物学报》青年编委、中国毒理学会环境与生态毒理学专业委员会委员,中国土壤学会青年工作委员会创新委员等。

胡沅胜 博士(爱尔兰都柏林大学)
胡沅胜,博士。于2012年在爱尔兰国立都柏林大学土木工程系获得博士学位,现为都柏林大学土木工程系助理教授。2023年7月,胡博士加入都柏林大学土木工程系,现任土木、结构和环境工程专业负责人 (Programme Director)。在此之前,他曾于2022年至2023年在爱尔兰大西洋理工大学Sligo分校土木工程与建设系担任教职。此外,胡博士还曾于2012年至2017年在北京建筑大学市政工程系担任教职。主要研究领域是污水生物处理技术,人工湿地技术,生物固体处理与再资源化技术,及微藻生物技术。
精选文章
1. Challenges for the Post-Market Environmental Monitoring in the European Union Imposed by Novel Applications of Genetically Modified and Genome-Edited Organisms
欧盟市场后期环境监测所面临的挑战——由转基因及基因编辑生物的新应用所引发的问题
作者:Marion Dolezel et al
网址:https://www.mdpi.com/2673-6284/13/2/14

新型转基因生物应用的接受环境与转基因作物的接受环境的对比
文章亮点:
1.提出新型转基因生物挑战欧盟环境监测体系;
2.现有监测指南需扩展适用范围;
3.生物多样性监测项目可补充GMO监测。
2. Influence of Nutrient Medium Composition on the Redistribution of Valuable Metabolites in the Freshwater Green Alga Tetradesmus obliquus (Chlorophyta) Under Photoautotrophic Growth Conditions
营养培养基成分对光自养生长条件下淡水绿藻塔德斯杜斯·奥布利克斯(属于绿藻门)有价值代谢物重新分布的影响
作者:Elvira E. Ziganshina et al
网址:https://www.mdpi.com/2673-6284/14/3/60

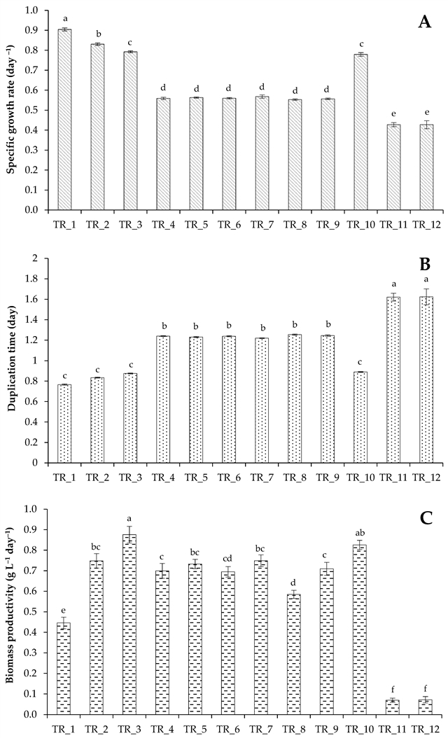
斜生藤黄菌培养物在本文所述策略下生长时的特定生长速率(A)、倍增时间(B)和生物量生产力(C)。未标注字母的平均值之间存在显著差异(采用图基方法,置信度为 95%)。
文章亮点:
1.明确了斜生四链藻(Tetradesmus obliquus)高营养负荷下的最优培养条件与生物质增产潜力
2.揭示了营养盐调控对藻细胞代谢物分配的定向影响规律。
3.证实了斜生四链藻兼具高营养盐去除能力与光合培养的实用价值。
3. Valorization of Second Cheese Whey Through Microalgae-Based Treatments: Advantages, Limits, and Opportunities
通过基于微藻的处理方式对次级奶酪废乳进行增值利用:优势、局限性及机遇
作者:Cinzia Caggia et al
网址:https://www.mdpi.com/2673-6284/14/4/79

微藻的处理方式对次级奶酪废乳进行增值利用
文章亮点:
1.明确二次奶酪乳清(SCW)的独特价值与环境问题,填补专属研究空白。
2.证实微藻介导的 SCW 资源化策略兼具治污与产效双重价值,混合营养模式为最优解。
3.全面剖析微藻处理 SCW 的技术落地壁垒,结合法规、经济与技术提出多维度解决方案。
4.AsNACGenes: Response to High Mercury Concentrations in Allium sativum Seed Clove
AsNAC基因:大蒜种子(蒜瓣)对高浓度汞的反应
作者:Pablo Delgado-Sánchez et al
网址:https://www.mdpi.com/2673-6284/14/2/27

蒜瓣对高浓度汞的反应
文章亮点
1. 明确大蒜对高浓度汞具有耐受性且为汞排斥型植物,揭示其汞胁迫下的萌发特性;
2. 解析 4 个 AsNAC 基因的差异化汞胁迫响应模式,锁定核心调控基因;
3.多维度解析大蒜汞胁迫响应的分子机制,为重金属污染作物遗传改良提供新靶点
精选特刊
1. Biotechnology for Wastewater Treatment: Current Situation and Future Prospects
https://www.mdpi.com/journal/biotech/special_issues/IV35H66077
2. BioTech: 5th Anniversary
https://www.mdpi.com/journal/biotech/special_issues/82RX0K1SQ7
BioTech期刊介绍
主编:Prof. Dr. Massimo Negrini, Department of Morphology, Surgery and Experimental Medicine, University of Ferrara, Ferrara, Italy
期刊发表范围涵盖生物制药领域, 通过培育转基因植物、动物或水生生物来解决农业中食品的生产或质量问题,以及在医学领域中采用的新方法;在环境领域中的应用,旨在维护生物多样性并清除污染物;开发能够生产有用化学物质或销毁有害/污染化学物质的生物体或酶;生物信息学方法;以及与生物技术领域中的伦理、哲学和监管方面相关的论文。被ESCI、Scopus、PubMed, PMC, 等多个权威数据库收录。期刊最新影响因子 IF 3.1, CiteScore 4.8,在JCR Biotechnology and Applied Microbiology 类别 排名中位居Q2.
特别声明:本文转载仅仅是出于传播信息的需要,并不意味着代表本网站观点或证实其内容的真实性;如其他媒体、网站或个人从本网站转载使用,须保留本网站注明的“来源”,并自负版权等法律责任;作者如果不希望被转载或者联系转载稿费等事宜,请与我们接洽。