|
|
|
|
|
新IF=5.2!| Cells:白细胞分化计数与年龄和性别因素的相关性研究 |
|
|
论文标题:A Flow Cytometry-Based Examination of the Mouse White Blood Cell Differential in the Context of Age and Sex
论文链接:https://doi.org/10.3390/cells13181583
期刊名:Cells
期刊主页:https://www.mdpi.com/journal/cells
德国哈勒维-滕贝格马丁-路德大学(MLU)Elise Arlt (第一作者兼通讯作者)等在期刊Cells(IF: 5.2)上发表了题为“A Flow Cytometry-Based Examination of the Mouse White Blood Cell Differential in the Context of Age and Sex”的研究型论文。
1.研究背景
白细胞分化计数是医学实践和研究中广泛使用的诊断程序,它能为了解生物体免疫系统状态提供重要信息。使用荧光染色的流式细胞术分析人类白细胞的方法已经非常成熟,但可能受到可采血量较少的影响,在小鼠中相关实验数据仍有不足。本文对该主题进行了全面的研究和概述,提倡使用基于流式细胞术的标准化小鼠血液分析方法,旨在仅使用少量血液来获取不同免疫细胞群状态的信息。
2.研究过程与结果
1)设门策略

图1:小鼠血液中白细胞亚群的基本分类以及识别这些亚群所必需的标志物的表达模式。

图二:初始设门步骤。(A) 排除双联体 (2)。借助碘化丙啶 (propidium iodide (PI), 3) 排除死细胞。然后,筛选出 CD45+ 细胞 (4)。(B) 死细胞在 FSC/SSC 图 (蓝色, 1) 中聚集成小群。红细胞和血小板聚集在 FSC/SSC 图 (红色, 2) 的角落。
后续实验包括幼鼠组的细胞分类实验数据:T细胞、B细胞、NK细胞、单核细胞和巨噬细胞、粒细胞、树突状细胞、肥大细胞。文中已纳入初步实验,以有效地阐明设门策略,并证实后续章节中提出的论点。
2)定向值
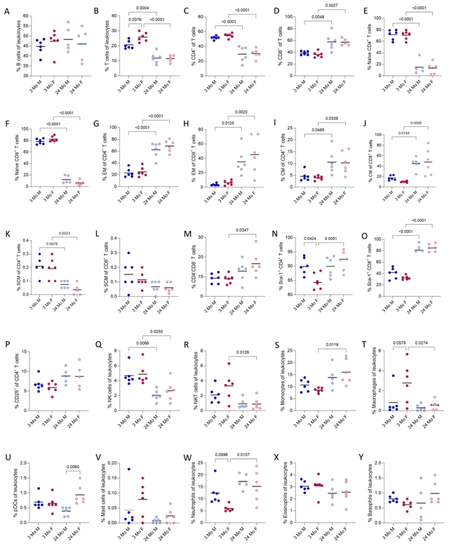
采用前文提出的设门策略,获取与年龄和性别相关的定向值。为此,作者将设门策略逐步应用于 3 月龄和 24 月龄 C57BL/6J 小鼠。

图三:心脏穿刺血液分析结果(A-Y)可用于定向值,该图包含所有所述白细胞亚群的值,以及四组之间存在差异的亚型的值。组别:3 个月龄雄性(3 Mo M)、3 个月龄雌性(3 Mo F)、24 个月龄雄性(24 Mo M)和 24 个月龄雌性(24 Mo F)。
3)心脏和面部静脉采血的比较
4)数据验证办法

图四:血糖分析结果。只有两只小鼠的血糖值超过阈值,但其血细胞计数值没有出现偏差。老年小鼠的血糖水平似乎低于幼鼠组。
3.研究结论
该方法可应用于包括实验室小鼠在内的多个研究领域,并已被证明在多种应用中可靠。这使我们能够了解免疫系统状态以及血液疾病和全身性感染的情况。本研究填补了小鼠血液流式细胞术分析方面的知识空白,从而为该领域的进一步研究奠定了基础。
关于Cells
Cells (ISSN: 2073-4409) 是MDPI 旗下-细胞生物学领域的一本国际开放期刊,2024 年期刊获得新的影响因子(IF)为 5.2,5年IF为6.1,JCR分区2区;最新 CiteScore达 10.5。该期刊目前已被多个国际权威数据库收录,包括科学引文索引扩展版(SCIE,Web of Science 核心合集)、PubMed、Scopus、医学文献分析和检索系统(MEDLINE)、PubMed Central(PMC)及化学文摘 plus 版 / 科学发现者(CAPlus/SciFinder)等。
更多高质量研究成果,可访问本刊主页深入研读:https://www.mdpi.com/journal/cells。本刊热忱欢迎广大学者投稿,接收范围包括与细胞生物学领域相关的原创性研究论文及系统性综述文章,投稿请登录:http://susy.mdpi.com/user/manuscripts/upload?journal=cells。
特别声明:本文转载仅仅是出于传播信息的需要,并不意味着代表本网站观点或证实其内容的真实性;如其他媒体、网站或个人从本网站转载使用,须保留本网站注明的“来源”,并自负版权等法律责任;作者如果不希望被转载或者联系转载稿费等事宜,请与我们接洽。