|
|
|
|
|
文献清单:“精算保险”方向文章鉴读 | MDPI Risks |
|
|
期刊名:Risks
期刊主页:https://www.mdpi.com/journal/risks
1. 人工智能在金融、(网络)保险和财务控制中的应用综述
A Survey on AI Implementation in Finance, (Cyber) Insurance and Financial Controlling
Aleksandrina Aleksandrova et al
https://www.mdpi.com/2227-9091/11/5/91

2. 基于机器学习的医疗保险索赔欺诈行为检测
Fraud Detection in Healthcare Insurance Claims Using Machine Learning
Eman Nabrawi and Abdullah Alanazi
http://www.mdpi.com/2227-9091/11/9/160

3. 基于梯度提升的汽车保险索赔频率和严重程度建模
Modelling Motor Insurance Claim Frequency and Severity Using Gradient Boosting
Carina Clemente et al
https://www.mdpi.com/2227-9091/11/9/163

4. 马尔可夫转换贝叶斯向量自回归模型在死亡率预测中的应用研究
Markov-Switching Bayesian Vector Autoregression Model in Mortality Forecasting
Wanying Fu et al
https://www.mdpi.com/2227-9091/11/9/152

5. 基于机器学习的汽车保险理赔预测
Machine Learning in Forecasting Motor Insurance Claims
Thomas Poufinas et al.
https://www.mdpi.com/2227-9091/11/9/164

6. 对抗性人工智能在保险中的应用:从个例到潜在的补救措施
Adversarial Artificial Intelligence in Insurance: From an Example to Some Potential Remedies
Behnaz Amerirad et al
https://www.mdpi.com/2227-9091/11/1/20

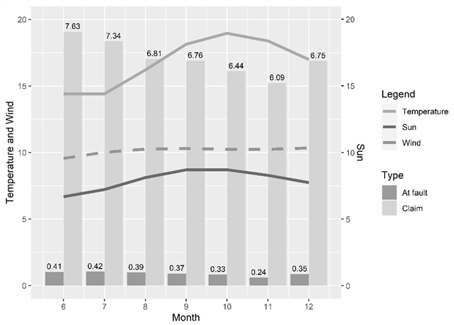
7. 天气条件与汽车咨询通讯系统面板数据在月度车险索赔频率模型中的应用
Weather Conditions and Telematics Panel Data in Monthly Motor Insurance Claim Frequency Models
Jan Reig Torra et al
https://www.mdpi.com/2227-9091/11/3/57

8. 财产及意外伤害险的承保周期研究:灾难性事件的影响
Underwriting Cycles in Property-Casualty Insurance: The Impact of Catastrophic Events
Annette Hofmann and Cristina Sattarhoff
https://www.mdpi.com/2227-9091/11/4/75

9. 广义线性建模与机器学习方法在汽车保险损失成本预测中的比较性研究
A Comparison of Generalised Linear Modelling with Machine Learning Approaches for Predicting Loss Cost in Motor Insurance
Alinta Ann Wilson et al.
https://www.mdpi.com/2227-9091/12/4/62

10. 欧盟国家的性别养老金差距:群体间不平等的方法分析
Gender Pension Gap in EU Countries: A Between-Group Inequality Approach
Antonio Abatemarco et al
https://www.mdpi.com/2227-9091/11/3/63

Risks 期刊介绍
主编:Steven Haberman教授,伦敦大学城市圣乔治学院,英国
期刊专注于发表和传播保险和金融风险管理领域的文章。目前已被Scopus、ESCI (Web of Science)、EconLit, EconBiz, RePEc等数据库收录。
2024 Impact Factor: 1.5
2024 CiteScore: 5.0
Time to First Decision: 23.2 Days
Acceptance to Publication: 5.7 Days
特别声明:本文转载仅仅是出于传播信息的需要,并不意味着代表本网站观点或证实其内容的真实性;如其他媒体、网站或个人从本网站转载使用,须保留本网站注明的“来源”,并自负版权等法律责任;作者如果不希望被转载或者联系转载稿费等事宜,请与我们接洽。