|
|
|
|
|
考虑耦合迟滞和蠕变效应的压电致动器分数阶建模 | MDPI Fractal and Fractional |
|
|
论文标题:Fractional-Order Modeling of Piezoelectric Actuators with Coupled Hysteresis and Creep Effects
论文链接:https://doi.org/10.3390/fractalfract8010003
期刊名:Fractal Fract
期刊主页:https://www.mdpi.com/journal/fractalfract
研究背景与发现
在制造、精密定位等领域,压电致动器凭借输出功率大、位移精度高、尺寸紧凑等优势,成为核心驱动部件。然而,其固有的滞后效应与蠕变效应严重影响运行精度,仅滞后效应就可能导致开环系统最大位移误差达 10%-15%,蠕变效应也会严重影响低频下的开环精度。传统整数阶模型难以有效捕捉压电致动器的动态特性,为此,来自华中科技大学、华南理工大学及美国加州大学默塞德分校的罗映、陈阳泉等学者开展研究。提出一种分数阶耦合迟滞-蠕变模型,该模型包含分数阶滞后模型和分数阶蠕变模型,能跟踪压电致动器的滞后、非局部记忆、峰值跃迁和蠕变等非线性行为,仅需 6 个参数即可获得高精度的幅频特性。通过实验验证了模型的高精度,为理解压电驱动机制和提升相关系统性能提供了建模工具。
研究过程与关键成果
耦合模型构建与参数设计
针对压电致动器耦合迟滞与蠕变难题,构建含线性模块
、非线性模块
及蠕变模块
的分数阶耦合模型,仅通过 6 个参数实现滞后与蠕变特性的精准描述。通过分数阶迟滞模型的结构图(如下),清晰展示线性与非线性模块的叠加关系。

分数阶迟滞模型的结构图
分数阶微积分理论应用
采用 Caputo 定义处理非零初始条件下的微分方程:

并通过 Oustaloup 递归算法实现工程化近似,其传递函数为

验证了该算法与理想分数阶系统的频率域一致性。
参数识别方法优化
采用粒子群优化(PSO)算法,对分数阶迟滞(FOH)模型中的五个关键参数进行精确辨识,其中分数阶次α和β的估计值分别为0.02729和-0.13501。针对蠕变效应,创新性地将分数阶蠕变模型与压电致动器的动力学方程相结合进行参数辨识,有效消除了动力学干扰。
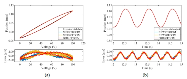
实验验证与精度提升
在 1Hz 正弦电压输入下,对比三种耦合模型性能:
FOH + OFOCIM 模型的均方根误差eRMS为 1.10993‰,相对误差er为 0.708479‰;较 NBW + TFOCIM 模型,非线性跟踪精度提升 3.7252%,相对误差降低 3.714%. 文章通过三种耦合模型的滞回环图及时域跟踪图(如下),直观展示了所提 FOH+OFOCIM 模型的拟合曲线与最小预测误差分布。

图(a)三种耦合模型的滞回跟踪效果 图(b)三种耦合模型的时域跟踪效果
研究意义
1.理论科学意义
研究将分数阶微积分理论用于压电致动器建模,提出分数阶耦合迟滞-蠕变模型,该模型通过 “线性-非线性模块整合” 框架,相比传统模型(如 Bouc-Wen 模型)结构更简单,也为处理多非线性效应的系统建模提供了参考思路。同时,研究优化了参数识别方法,结合粒子群优化算法集成执行器动力学进行参数识别,避免了传统建模中参数精确获取难、迭代复杂的问题,降低了分数阶模型的应用门槛,为分数阶耦合模型的实际应用提供了可行路径。
2.工程应用意义
本文的仿真和试验验证了分数阶耦合迟滞-蠕变模型在迟滞和蠕变非线性特性跟踪精度方面的优越性,有助于更深入地理解压电驱动机制,并为提升系统性能提供高效的建模工具。
Fractal and Fractional 期刊介绍
主编:Carlo Cattani, University of Tuscia, Italy
期刊主题涵盖包括分形和分数阶微积分基础研究及其在不同科学和工程领域中的应用研究。现已被 SCIE (Web of Science)、Scopus 等重要数据库收录,JCR category rank: 22/136 (Q1),中国科学院2区。

特别声明:本文转载仅仅是出于传播信息的需要,并不意味着代表本网站观点或证实其内容的真实性;如其他媒体、网站或个人从本网站转载使用,须保留本网站注明的“来源”,并自负版权等法律责任;作者如果不希望被转载或者联系转载稿费等事宜,请与我们接洽。