|
|
|
|
|
肯塔基大学团队开发机器学习模型 加速低共熔溶剂设计 Engineering |
|
|
论文标题:Machine-Learning-Assisted Design of Deep Eutectic Solvents Based on Uncovered Hydrogen Bond Patterns
期刊:Engineering
DOI:https://doi.org/10.1016/j.eng.2023.10.020
微信链接:点击此处阅读微信文章
中国工程院院刊《Engineering》发表了一项关于低共熔溶剂(DESs)设计的研究,来自美国肯塔基大学的研究团队利用机器学习与分子动力学模拟,基于氢键模式解析,为发现新的 DES 系统提供了有效途径。

DESs 是由氢键受体和氢键供体组成的液体混合物,在催化、萃取、碳捕集和制药等众多领域应用广泛。非离子型 DES 因具有生物可降解性、高导电性、低挥发性和低毒性等理想特性,尤其适合工业应用。然而,目前发现新的 DES 候选物面临挑战,其搜索过程大多依赖直觉或试错,效率较低。鉴于氢键在 DES 形成中起着关键作用,研究团队决定从氢键特征入手,开发机器学习模型以预测 DES 系统的形成。

图1 平衡的THY-MEN11系统的快照。分子以Corey-Pauling-Koltun(CPK)模型显示(原子配色方案:C,青色;O,红色;H,白色)。
研究团队首先构建了包含 38 个已知 DES 和 111 个非 DES 系统的数据库作为训练集和测试集,并保留 34 个经过实验验证的系统用于验证。在分子模拟环节,使用全原子优化势(OPLS-AA/M)力场描述分子,通过特定步骤创建模拟系统,包括能量最小化、等压等温系综 MD 模拟和正则系综 MD 模拟,以获取系统达到热力学平衡后的相关数据。同时,采用特定标准对氢键进行表征,并分两步计算氢键寿命。
在机器学习模型开发方面,考虑到数据不平衡问题,团队整理了包含等量 DES 和非 DES 系统的数据库用于训练,并将其分为训练集和测试集。使用 scikit 学习和 XGBoost 包提供的十种算法,结合三种氢键描述符(氢键数、氢键寿命、氢键数与寿命的组合),共训练了 30 个模型。通过超参数优化和 k 折交叉验证,以受试者工作特征(ROC)- 曲线下面积(AUC)指标衡量模型性能。
对氢键特征的统计分析发现,DES 系统与非 DES 系统存在明显差异。在氢键数特征上,DES 系统两类组分内氢键数中位数差异大,组分间氢键数中位数比组分内高,且组分间与组分内氢键数比值在 DES 中更高;非 DES 系统组分内平均氢键数相近,不存在主导的组分内氢键。在氢键寿命方面,DES 系统存在组分间或组分内氢键占主导的情况,且组分间氢键寿命比部分组分内的长;非 DES 系统组分内氢键寿命缺乏明显趋势,组分间与组分内氢键寿命中位数差异较小。总体而言,氢键数和寿命的比值比实际值更可能作为区分 DES 和非 DES 系统的特征。
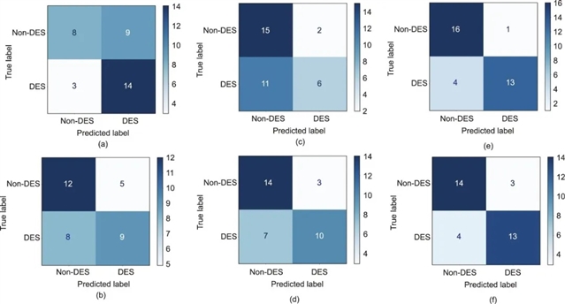
在模型验证阶段,研究团队使用 34 个实验结果(17 个 DES 和 17 个非 DES 系统)对 30 个训练模型进行验证。结果显示,不同算法和输入特征训练的模型表现各异。其中,极端随机树模型在使用氢键数和寿命组合特征训练时,表现最为出色,ROC-AUC 达到 0.88 [图2(c)],在预测 DES 和非 DES 方面均有良好表现。同时,研究还分析了模型中输入特征的重要性,发现绝大多数模型将组分间氢键数及其与组分内氢键数和寿命的比值列为 DES 分类的最重要特征。

图2 验证期间表现最佳的模型的混淆矩阵。(a)、(b)HB寿命特征:(a)XGBoost随机森林;(b)逻辑回归。(c)、(d)HB数特征:(c)支持向量机;(d)极端随机树。(e)、(f)组合HB数和寿命特征:(e)极端随机树;(f)逻辑回归。右侧的颜色条表示模型的性能,从白色到蓝色表示性能从差到好。
该研究通过深入分析 DES 和非 DES 系统的氢键特征,成功开发出机器学习模型用于预测 DES 系统的形成,为 DES 研究提供了新的工具和思路,有助于加速新的 DES 候选物的发现。不过,研究仅确定了二元体系是否能形成 DES,未来还需进一步研究以预测形成的 DES 具有的物理化学性质,更好地满足特定应用需求。
论文信息:
Usman L. Abbas, Yuxuan Zhang, Joseph Tapia, Selim Md, Jin Chen, Jian Shi, Qing Shao. Machine-Learning-Assisted Design of Deep Eutectic Solvents Based on Uncovered Hydrogen Bond Patterns. Engineering, 2024, 39(8): 74–83
开放获取:
https://doi.org/10.1016/j.eng.2023.10.020
更多内容
祝京旭教授团队:透明度是化学工程人工智能应用的关键
用于材料发现的生成式人工智能——无需理解的设计
邬江兴院士团队提出多模态网络环境理论框架 开启网络发展的新范式
Engineering 2025年6月刊目录 | 激光微纳制造专题
Engineering征稿启事:人工智能赋能工程科技
特别声明:本文转载仅仅是出于传播信息的需要,并不意味着代表本网站观点或证实其内容的真实性;如其他媒体、网站或个人从本网站转载使用,须保留本网站注明的“来源”,并自负版权等法律责任;作者如果不希望被转载或者联系转载稿费等事宜,请与我们接洽。