|
|
| 分数阶混沌系统实时同步的安全通信方案:滑动模式观测器与优化算法协同框架| MDPI Fractal and Fratcional |
|
Real-Time Synchronisation of Multiple Fractional-Order Chaotic Systems: An Application Study in Secure Communication
论文链接:https://doi.org/10.3390/fractalfract8020104
期刊名:Fractal Fract
期刊主页:https://www.mdpi.com/journal/fractalfract
一、研究背景与核心发现
分数阶混沌系统(FOCS)因兼具复杂动力学特性与长期记忆效应,在安全通信领域展现出超越整数阶系统的潜力。然而,传统同步方法存在参数优化随机性强、抗噪声能力不足等瓶颈。阿尔及利亚杰勒法大学,意大利罗马大学和波兰琴斯托霍瓦工业大学团队提出基于分步滑动模式观测器(SBS-SMO)与Harris Hawks 优化算法(HHO)的协同框架,实现分数阶 Chua 系统的高精度实时同步。研究发现,通过 HHO 算法优化观测器参数(μ1=185.3, μ2=80.1, μ3=145.08),可将同步误差降至 10-5量级,且实现语音信号的完整恢复(MSE=6.25×10-4)。
该研究的核心突破在于建立了 “动态优化—噪声抑制—硬件适配” 的全链条技术路径,解决了分数阶计算在 Arduino 微控制器中的内存限制问题(通过 Rung Kutta 4 阶积分算法),并通过电容滤波与随机噪声抑制算法,降低硬件传输失真率。
二、研究过程与关键成果
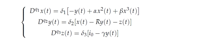
1.系统建模与同步机制
构建三阶分数阶 Chua 系统(阶数 q=0.9),在第三状态方程中注入秘密信息 m (t),形成加密模型:

设计 SBS-SMO 观测器,通过迭代注入虚拟输入实现状态估计,并利用 HHO 算法最小化均方误差(MSE),优化参数匹配发射器与接收器状态。
2.多场景验证与性能分析
信号恢复实验:对正弦波、方波、锯齿波及语音信号进行加密传输,其中正弦信号 MSE 达7.52×10-5,语音信号恢复质量突破传统方法限制。
安全性验证:初始条件微扰(如 x (0)=10-6)或分数阶数偏移(q1=0.905)均导致接收端信号完全丢失,证明系统对参数的高度敏感性。


左图:初始条件微扰(发射器 x (0)=10-6,其余初始条件为 0,收发端分数阶均为 0.9)时,原始语音与接收端恢复语音的对比图,可见接收端信号完全失真。
右图:发射器分数阶 q1=0.905(q2=q3=0.9)、接收端分数阶均为 0.9 时,原始语音与接收端恢复语音的对比图,显示接收端无法正确恢复信息
硬件实现:基于 Arduino Uno 平台,通过 Rung Kutta 算法解决 ATmega328P 内存限制,结合 NRF24L01 模块完成无线传输实验,理论与实测结果吻合。

实时通信实验
三、未来研究展望
该研究为分数阶混沌通信奠定了工程化基础,后续将聚焦三方面突破:
1. 维度拓展:探索 4D/6D 分数阶混沌系统的实时建模与同步,提升加密维度;
2. 算法升级:引入深度学习算法替代传统观测器,实现动态环境下的自适应参数优化;
3. 应用延伸:推动方案在图像加密、无人机集群安全通信等场景的落地,结合量子密钥分发技术构建复合安全体系。
Fractal and Fractional 期刊介绍
主编:Carlo Cattani, University of Tuscia, Italy
期刊研究范围包括分形和分数阶微积分基础研究及其在不同科学和工程领域中的应用。

特别声明:本文转载仅仅是出于传播信息的需要,并不意味着代表本网站观点或证实其内容的真实性;如其他媒体、网站或个人从本网站转载使用,须保留本网站注明的“来源”,并自负版权等法律责任;作者如果不希望被转载或者联系转载稿费等事宜,请与我们接洽。