|
|
|
|
|
FCSE | 合成气通过复合催化剂体系转化为低碳烯烃 |
|
|
论文标题:Conversion of syngas into lower olefins over a hybrid catalyst system
期刊:Frontiers of Chemical Science and Engineering
作者:Qiao Zhao, Hongyu Wang, Haoting Liang, Xiaoxue Han, Chongyang Wei, Shiwei Wang, Yue Wang, Shouying Huang, Xinbin Ma
发表时间:15 Oct 2024
DOI:10.1007/s11705-024-2467-4
微信链接:点击此处阅读微信文章
低碳烯烃作为化工领域的基础原料和关键中间体,广泛应用于塑料、涂料等工业。传统低碳烯烃的生产主要依赖石脑油蒸汽或流化裂解工艺,但石油资源的有限性推动了非石油路线的探索,其中通过费托合成(FTO)将合成气转化为低碳烯烃的技术备受关注。铁基催化剂在FTO中具有调控低碳烯烃选择性和适应煤制合成气H2/CO比的优势,但其目标产物选择性不足,成为制约其应用的关键问题。

天津大学化工学院黄守莹和南开大学材料科学与工程学院赵俏等在《化学科学与工程前沿》(英文)发表了题为“Conversion of syngas into lower olefins over a hybrid catalyst system”(合成气通过复合催化剂体系转化为低碳烯烃)的研究论文,提出通过铁基催化剂(FeKS/Al2O3)与SAPO-34分子筛构建复合催化体系,探讨了其对低碳烯烃选择性的提升机制。
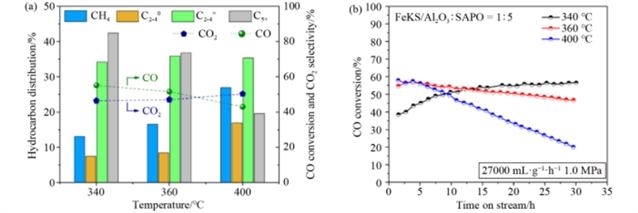
本研究采用物理混合法制备复合催化剂,并从操作条件、负载方式、催化剂质量比及分子筛酸性等多维度展开分析。在操作条件优化实验中,当空速从27000 mL·g-¹·h-¹提升至54000 mL·g-¹·h-¹时,虽然低碳烯烃和甲烷的选择性有所上升,但高流速加速了催化剂表面积碳,导致活性快速下降;综合考虑活性与稳定性,最终确定27000 mL·g-¹·h-¹为适宜空速。压力变化对反应的影响则呈现矛盾性:当压力从0.5 MPa升至2.0 MPa时,CO转化率显著提升,但高压延长了产物在催化剂表面的停留时间,加剧了低碳烯烃的二次加氢和长链烃的过度裂解,反而导致低碳烯烃选择性下降;因此,1.0 MPa被选为最优压力。温度实验显示,340-380 ℃范围内,升高温度虽能促进短链烃生成,但会加速催化剂失活;权衡后,340 ℃被确定为反应温度。

图1 空速对催化性能的影响

图2 反应压力对催化性能的影响

图3 温度对催化性能的影响
负载方式的探索进一步揭示了催化剂组分间的相互作用。通过对比双床层、不同目数颗粒混合及粉末混合等模式,发现40-60目颗粒混合模式能够适度缩短金属催化剂与分子筛的距离,既保证了产物的有效扩散,又抑制了过度的二次反应,相较于其他模式更有利于低碳烯烃的生成。质量比实验则表明,当FeKS/Al2O3与SAPO-34的质量比为1:7时,SAPO-34的强酸位点能有效裂解铁基催化剂生成的长链烃,使低碳烯烃选择性较纯铁基催化剂提升约10%;但过量的强酸位点会引发低碳烯烃的芳构化和聚合,导致选择性下降。

图4 双组分负载方式研究
综上所述,通过优化操作条件(空速27000 mL·g-¹·h-¹、压力1.0 MPa、温度340 ℃)、采用40-60目颗粒混合负载方式及1:7质量比,复合催化体系可有效提升低碳烯烃的选择性;同时明确了SAPO-34强酸位点的双重作用——适量促进裂解、过量引发副反应,为设计高效FTO复合催化剂提供了理论依据。
引用信息
Qiao Zhao, Hongyu Wang, Haoting Liang, Xiaoxue Han, Chongyang Wei, Shiwei Wang, Yue Wang, Shouying Huang, Xinbin Ma. Conversion of syngas into lower olefins over a hybrid catalyst system. Front. Chem. Sci. Eng., 2024, 18(10): 116 https://doi.org/10.1007/s11705-024-2467-4
本文来自
Porous materials for catalysis and separation

扫描二维码 | 查看原文
原文链接:
https://journal.hep.com.cn/fcse/EN/10.1007/s11705-024-2467-4
《前沿》系列英文学术期刊
由教育部主管、高等教育出版社主办的《前沿》(Frontiers)系列英文学术期刊,于2006年正式创刊,以网络版和印刷版向全球发行。系列期刊包括基础科学、
、工程技术和人文社会科学四个主题,是我国覆盖学科最广泛的英文学术期刊群,其中12种被SCI收录,其他也被A&HCI、Ei、MEDLINE或相应学科国际权威检索系统收录,具有一定的国际学术影响力。系列期刊采用在线优先出版方式,保证文章以最快速度发表。
中国学术前沿期刊网
http://journal.hep.com.cn

特别声明:本文转载仅仅是出于传播信息的需要,并不意味着代表本网站观点或证实其内容的真实性;如其他媒体、网站或个人从本网站转载使用,须保留本网站注明的“来源”,并自负版权等法律责任;作者如果不希望被转载或者联系转载稿费等事宜,请与我们接洽。