|
|
| 过敏性鼻炎、哮喘患者和健康对照者的鼻颊细菌群多样性和相互作用 | MDPI Allergies |
|
论文标题:Diversity and Interactions of the Naso-Buccal Bacteriome in Individuals with Allergic Rhinitis, Asthma and Healthy Controls
论文链接:https://www.mdpi.com/2313-5786/5/2/16
期刊名:Allergies(ISSN 2313-5786)
期刊主页:https://www.mdpi.com/journal/allergies
研究背景
过敏性鼻炎和哮喘是发达国家最常见的两种慢性呼吸道疾病。据估计,全球约有4亿人患有过敏性鼻炎。每年有超过3亿人被诊断患有哮喘,相当于每年有超过49.5万人死亡。过敏性鼻炎被认为是鼻黏膜的炎症,其特征是打喷嚏、鼻塞、鼻痒和流鼻涕。哮喘也是一种以阻塞、炎症和粘液分泌为特征的呼吸道疾病。过敏性鼻炎和哮喘经常并发;约40%的过敏性鼻炎患者同时患有哮喘,高达80%的哮喘患者可能出现过敏性鼻炎的症状。

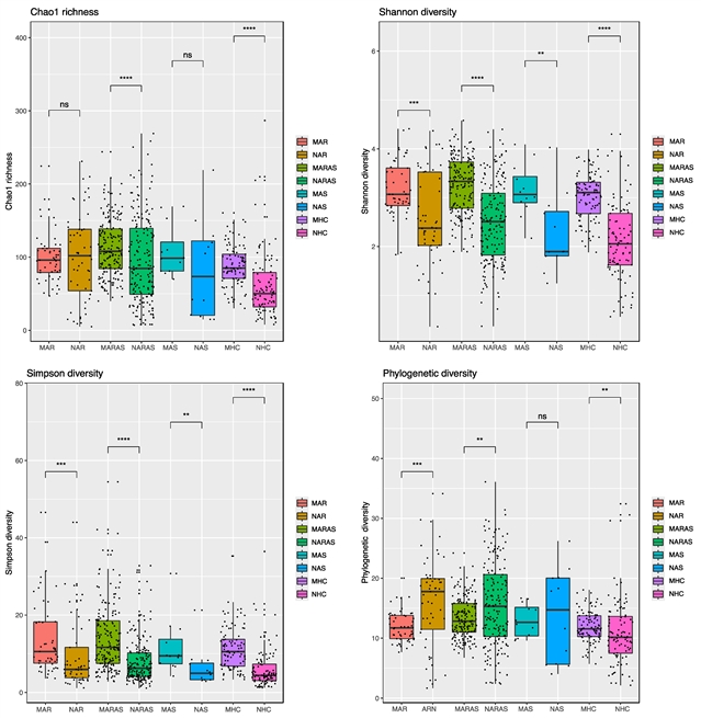
Figure 2. 过敏性鼻炎(MAR 和 NAR)、伴有哮喘的过敏性鼻炎(MARAS 和 NARAS)、哮喘(MAS 和 NAS)以及健康对照者(MHC 和 NHC)的口腔 (M) 和鼻腔 (N) 细菌组的 Alpha 多样性估计值。
文章亮点:
(1)对347名过敏性鼻炎患者、哮喘患者和健康对照者的鼻腔和口腔细菌组进行了比较。
(2)鼻颊细菌组在过敏性鼻炎和哮喘中发挥着独特而又相互关联的作用。
(3)尽管过敏性鼻炎和哮喘在病理生理和临床表现上相似,但这两种疾病可能代表两种不同的疾病,其过敏原致敏和发病、严重程度和治疗反应均有所不同。
研究过程与结果
本研究的347名参与者均参加了ASMAPORT项目(PTDC/SAU-INF/27953/2017),是一项针对葡萄牙北部成人和儿童的横断面研究,旨在调查哮喘和鼻炎期间宿主与微生物的相互作用。参与者在采样时未服用抗生素,被分为四组:过敏性鼻炎、过敏性鼻炎合并哮喘、哮喘健康对照组。采集了鼻腔和口腔拭子样本,从拭子中提取DNA,进行生物信息学和统计分析。
研究总结与展望
本文比较了347名过敏性鼻炎患者(伴或不伴哮喘)、哮喘患者和健康对照者的鼻腔和口腔细菌组。所有临床组的细菌群落在分类组成、结构和功能上均存在显著差异。鼻腔-口腔细菌网络在连通性和关键分类单元方面也表现出显著差异。值得注意的是,患病个体的网络复杂性和生态特化程度较低,致病性枢纽节点更多。表明鼻腔-口腔细菌组在过敏性鼻炎和哮喘中发挥着独特但又相互关联的作用。尽管过敏性鼻炎和哮喘在病理生理和临床上具有相似性,但这两种疾病可能代表两种不同的疾病,其过敏原致敏和发病、严重程度和治疗反应均不同。需要进一步研究来探索鼻颊细菌组在慢性炎症中的作用,特别是在过敏个体中。
特别声明:本文转载仅仅是出于传播信息的需要,并不意味着代表本网站观点或证实其内容的真实性;如其他媒体、网站或个人从本网站转载使用,须保留本网站注明的“来源”,并自负版权等法律责任;作者如果不希望被转载或者联系转载稿费等事宜,请与我们接洽。