期刊名:Liquids
期刊主页:https://www.mdpi.com/journal/liquids
文章1:
论文标题:Solvatochromism in Solvent Mixtures: A Practical Solution for a Complex Problem
中文标题:溶剂混合物中溶剂化显色现象
论文链接:https://www.mdpi.com/2673-8015/4/1/3
本文探讨溶剂混合物中溶剂化显色现象,即溶质颜色随溶剂变化的特性。通过溶剂化显色探针的光谱测量,分析溶剂层组成与本体的差异,揭示氢键、疏水作用等对溶剂-溶质相互作用的影响,为理解溶剂混合物对化学反应(如酯水解、纤维素溶解)的作用提供实用方法。

文章2:
论文标题:Polarity of Organic Solvent/Water Mixtures Measured with Reichardt’s B30 and Related Solvatochromic Probes—A Critical Review
中文标题:用 Reichardt’s B30 及相关溶剂化显色探针测量有机溶剂/水混合物的极性
论文链接:https://www.mdpi.com/2673-8015/4/1/10
本文研究有机溶剂/水混合物的极性,以Reichardt的B30等溶剂化显色探针为工具,分析ET (30)参数与平均摩尔浓度(Nav)的关系,结合Marcus分类,探讨甲醇、DMSO 等共溶剂与水混合时的极性变化及溶剂微观结构的影响,为理解混合溶剂极性提供依据。

Reichardt 染料 2,6-二苯基-4-(2,4,6-三苯基-1-吡啶)-苯酚盐 (B30)
文章3:
论文标题:Solvent Replacement Strategies for Processing Pharmaceuticals and Bio-Related Compounds—A Review
中文标题:药物及生物相关化合物加工中的溶剂替代策略综述
论文链接:https://www.mdpi.com/2673-8015/4/2/18
本文综述药物及生物相关化合物加工中的溶剂替代策略,聚焦用绿色溶剂替代DMF等有害极性非质子溶剂,介绍醇类、超临界CO2等替代溶剂及氢键供体-受体混合溶剂系统,结合溶解度参数、极性参数等工具筛选,为绿色化学实践提供安全高效方案。

Kamlet——Taft酸度(α)和碱度(β)与水和非水混合溶剂以及纯溶剂的偶极/极化率(π*)的关系。虚线表示混合溶剂KT参数随组成的近似变化。
文章4:
论文标题:On the Solute-Induced Structure-Making/Breaking Phenomena: Myths, Verities, and Misuses in Solvation Thermodynamics
中文标题:溶质诱导的结构形成/破坏现象
论文链接:https://www.mdpi.com/2673-8015/4/3/33
本文综述溶质诱导的溶剂结构形成/破坏现象,基于统计力学定义基本函数,揭示其与热力学响应的关联。批判Jones-Dole的B系数、Hepler热膨胀系数等替代指标的歧义性,指出其无法准确描述溶质对溶剂微观结构的扰动,为相关研究提供严谨评估框架。

和
之间的关系
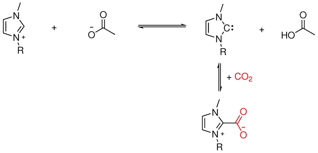
文章5:
论文标题:Reactive Molecular Dynamics in Ionic Liquids: A Review of Simulation Techniques and Applications
中文标题:离子液体中的反应分子动力学
论文链接:https://www.mdpi.com/2673-8015/5/1/8
本文综述离子液体中反应分子动力学的模拟技术及应用,介绍量子力学方法、ReaxFF 等反应力场、PROTEX 分数力场等手段,分析其在质子转移、CO2捕获等反应中的表现,指出各方法在系统规模、模拟时长及精度上的优劣,为相关研究提供方法参考。

1-烷基-3-甲基咪唑乙酸盐的化学平衡和CO2的化学吸附
特别声明:本文转载仅仅是出于传播信息的需要,并不意味着代表本网站观点或证实其内容的真实性;如其他媒体、网站或个人从本网站转载使用,须保留本网站注明的“来源”,并自负版权等法律责任;作者如果不希望被转载或者联系转载稿费等事宜,请与我们接洽。