导读
南京大学电子科学与工程学院吴培亨院士团队张蜡宝教授课题组和现代工程与应用科学学院张利剑教授课题组,联合南京理工大学电子工程与光电技术学院陈钱教授课题组,在激光雷达测量理论和方法上取得了重要进展,基于光子数分辨超导单光子探测器(SNSPD),实现具有接近标准量子极限性能的容噪激光雷达。相关成果近日以“Noise-tolerant LiDAR approaching the standard quantum-limited precision”为题发表于国际顶尖光学期刊《Light: Science & Applications》。李昊辰、葛睿和郑凯敏为本文共同第一作者;张蜡宝教授、张利剑教授、何伟基研究员和吴培亨院士,为本文共同通讯作者。
研究背景
激光雷达(LiDAR)通过实时测距和三维环境感知,广泛应用于汽车自动驾驶、手机人脸识别及扫地机器人导航等日常场景,提升生活智能化与安全性。具有更高性能的远程激光雷达,可应用于地形测绘、环境监测、空中或空间目标精确定位等。在物理原理上, 激光雷达通过发射激光,并利用回波光信号的振幅、频率、偏振等自由度编码信息,完成对外部环境的感知。以此为基础,装备了单光子探测器的激光雷达,能从光量子的层面获取信息,以极低的功率对微弱目标进行高灵敏度探测与感知。
门捷列夫说过“科学是从测量开始的”。测量是人类认知自然的重要手段,其精度受到物理规律的限制。激光雷达回波光子信号测量精度的理论极限,由相干光的量子涨落决定,被称为标准量子极限。在实际测量中,其量子涨落在数态表象下,表现为回波脉冲的光子数的泊松分布。近年来,单光子探测技术的进步大大推动了激光雷达的发展。然而,常规的单光子激光雷达以on/off探测模式工作,无法分辨探测到的光子的数目,丢失了回波信号的光子数统计信息,无法达到标准量子极限性能。同时,在白天强烈背景噪声干扰,以及目标和信号强度多变的实际外场环境下,尽管通常采用了窄带光学滤波,单光子探测器仍然会接收到大量背景噪声光子,容易受到背景干扰,甚至受强反射致盲。这些问题极大地限制了单光子激光雷达实际的性能和应用场景。
创新研究
针对这一难题,研究人员从测量的角度出发,提出了光子数分辨的激光雷达和主动光子数滤波方法(APNF),其系统示意图如图1所示。该激光雷达使用16光子数分辨的阵列超导纳米线单光子探测器作为信号探测端,根据不同的光子数输出不同幅值的脉冲,能够实现对于回波光子数的分辨。在探测到回波光子后,除了记录其飞行时间信息外,还利用APNF算法提取信号光子、滤除噪声、重建目标信息等。APNF算法的基本原理是:(1)利用信号与噪声的光子数分布不同,以及回波信号的多光子事件的置信度高于少光子事件等因素,充分发挥阵列超导纳米线单光子探测器的光子数分辨能力,对所有探测事件依据光子数不同进行动态分类;(2)根据光子数的统计分布设定激活阈值,以选取有效光子数成分;(3)利用最大有效光子数事件的飞行时间为中心,动态精确设置宽度为系统时间抖动级的像素级时间窗,从而最大限度地提取信号光子、滤除噪声光子。

图1. 光子数分辨激光雷达系统示意图和APNF原理示意图。
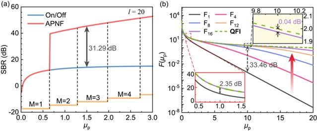
研究人员首先建立了测量的信号噪声理论模型,验证了APNF在提升光子点云信号背景比(SBR)方面的能力,如图2(a)所示。SBR的提升将有利于激光雷达从强烈的背景噪声中提取需要的信号光子,从而工作在具有噪声干扰的环境中。此外,该测量方法的Fisher信息模型显示,光子数分辨探测的应用使得激光雷达在光子统计信息的获取上,逼近由相干光的量子Fisher信息(QFI)所决定的标准量子极限(SQL),如图2(b)所示。同时,信息获取能力的提升使得激光雷达对信号和噪声的变化具有鲁棒性。在实际应用中,这将表现为对反射率的接近标准量子极限精度的测量能力,以及对环境和测量目标的多变性的卓越适应能力。

图2. 信噪比特性与Fisher信息获取能力。(a):信号背景比(SBR)对比。(b):测量的Fisher信息与量子Fisher信息的对比。
研究人员在白天强背景噪声下实验验证了该方法的性能。在实际应用中,通常存在激光雷达所处的工作环境多变的难题。目标位置、结构的未知性,信号回波强度的多样性以及背景噪声的强度变化等,都会影响实际测量的性能,给高精度重建带来了挑战。实验中,研究人员利用研制的光子数分辨激光雷达系统,在白天强烈背景噪声的干扰下,对位于实验室约900 m外的具有复杂结构的分布式线缆塔目标进行了扫描探测,并利用实际编写的APNF算法对光子点云中的有效信号进行了提取。在算法执行上,APNF使用三维掩模遍历待处理的光子点云,并在每个掩模内统计事件的光子数分布,筛选出有效光子数事件,从而构造像素级的时间窗。在每像素20次测量下,APNF能够在保证信号完整性的同时几乎无噪声地重现出目标的三维结构,包括因散射截面较小而回波信号较弱的线缆部分,如图3所示。与其他的计算单光子成像算法相比,这种方法不需要预设目标的先验信息,并且能够在自由工作模式下完成多深度、高动态范围、高信噪比的目标信号提取。

图3. 使用APNF进行光子点云处理。(a):强烈背景噪声环境下获取的原始光子点云。(b):APNF处理后的三维点云。(c):APNF算法执行流程示意图。
进一步,研究人员利用贝叶斯估计方法对目标的反射率进行重建,分析重建的方差并与SQL进行对比,如图4所示。根据方差和标准差分析,在实际目标的反射率估计中,随着光子数分辨能力的提升,重建的精度得到了显著的提升,并且逐步逼近SQL。参数估计结果显示,该线缆塔目标不同区域的回波信号强度差别较大。例如,其主体部分的平均回波光子数主要分布在1-2之间,而两侧线缆部分则为0.5左右,个别区域为0.1左右。这体现了应用场景中噪声和信号变化范围较大的特点。在这种情况下,研究人员提出的方法能够在低光子通量和高光子通量下均保持接近SQL的测量精度,展现了超越常规单光子激光雷达的测量能力,如图4(a)所示。此外,研究人员还在较大的噪声范围内(最高1000万噪声光子每秒),验证了所使用方法的噪声鲁棒性和高质量图像重建能力。

图4. 反射率测量能力研究。(a):不同光子数分辨能力下的估计方差与SQL的对比。(b):PNR=1 detection (on/off detection)估计标准差的空间分布。(b):PNR=4 detection估计标准差的空间分布。
应用与展望
本文基于光子数分辨超导单光子探测器,实现了具有标准量子极限性能的激光雷达,其具备噪声鲁棒性和对各种反射率目标的高精度探测能力。这种新的测量方法将推动单光子激光雷达的全天时和快速测量应用,例如自动驾驶汽车的目标探测和识别、白天环境下的远程目标探测等。通过使用这种方法,上述应用中激光雷达的灵敏度和对环境变化的鲁棒性将得到显著的提升,进而能够应对弱反射目标探测、背景噪声致盲以及强反射致盲等问题。此外,这一成果还将有望推动单光子激光雷达测量理论和技术的发展,特别是量子精密测量技术在其中的应用。(来源:LightScienceApplications微信公众号)
相关论文信息:https://doi.org/10.1038/s41377-025-01790-5
特别声明:本文转载仅仅是出于传播信息的需要,并不意味着代表本网站观点或证实其内容的真实性;如其他媒体、网站或个人从本网站转载使用,须保留本网站注明的“来源”,并自负版权等法律责任;作者如果不希望被转载或者联系转载稿费等事宜,请与我们接洽。