|
|
|
|
|
北京科技大学李宇教授团队——含铁固废制备蓄热陶瓷材料 | MDPI Materials |
|
|
论文标题:Preparation and Characterization of Thermal Storage Ceramics from Iron-Containing Solid Waste
论文链接:https://www.mdpi.com/1996-1944/18/4/909
期刊名:Materials
期刊主页:https://www.mdpi.com/journal/materials
01 作者介绍
通讯作者介绍
北京科技大学教授、博士生导师。2007年博士毕业于清华大学,2009年清华大学博士后出站,2015年到多伦多大学公派访学。现就职于北京科技大学绿色低碳钢铁冶金全国重点实验室,任冶金资源研究所所长,同时担任巴塞尔公约亚太区域中心智库专家、中国钢铁工业协会“低碳工作推进委员会”专家委员、中国硅酸盐学会房屋建筑材料分会理事、中国混凝土与水泥制品协会轻骨料及轻骨料混凝土分会专家委员、硅酸盐协会冶金渣专委会委员。主要从事固废资源化利用方向的教学和研究。先后提出并初步构建了大掺量利用冶金固废的新型陶瓷理论体系;研发了利用高温冶金熔渣直接制备天然石材的“渣”“热”耦合利用新工艺;借鉴钢铁冶金球团烧制的带式焙烧工艺,创新性提出了单线百万吨级固废制备低成本砂石骨料并协同输出余热蒸汽/发电的节能低碳新技术,并大力构建具有自主知识产权的新工艺和新装备,推动技术产业化应用。先后出版教材1本,负责骨干课程2门;作为负责人先后主持国家重点研发计划和国家863计划子课题、国家自然科学基金、山东省重点研发计划项目、企业项目等30余项;并先后参与国家和省部级等项目近30项,获得科技成果鉴定2项,制定行业及团体标准3项,获得省部级奖励3项,获得授权专利20余项;发表论文100余篇,国际TOP期刊文章近30篇。
第一作者介绍

薛骋,北京科技大学冶金与生态工程学院本科生。主要从事含铁冶金工业固废制备功能性陶瓷材料的研究,参与北京科技大学北京市级本科生创新创业项目。以第一作者、第二作者发表SCI论文2篇,授权发明专利1项。获国家奖学金、小米特等奖学金。
02研究背景
随着全球工业化进程的深入推进,有色金属冶金行业排放的铜渣、赤泥等大宗工业固体废弃物已逐步演变为全球性环境治理难题。此类冶金固废由于其规模化堆存特性及复杂组分特征会引发包括土地资源不可逆占用重金属离子、放射性元素迁移对周边生态系统构成潜在威胁等多重环境风险。与此同时,能源结构转型对高效储能技术提出迫切需求,显热储热材料因其化学稳定性好、成本低廉的特点,在显热储热系统中展现出重要应用价值,如何高效、低成本的制备性能优异的蓄热材料成为了重要议题,因此利用含铁冶金固废制备蓄热陶瓷材料具有重要意义。
北京科技大学李宇教授团队在 Materials 期刊发表了文章 (Preparation of thermal storage ceramics fron iron-containing solid waste),研究利用赤泥和铜渣作为原料,制备得到了具有优良蓄热、导热能力的陶瓷材料,并探究了材料成分、矿相及微观形貌对材料蓄热能力的影响。本研究成果将为解决固废规模化利用难题提供创新方案,同时也能降低储能材料制备成本,对实现“双碳”战略具有重要支撑作用。
03研究过程与结果
在研究过程中,作者先对两种铜渣和赤泥球磨筛分,经过配比后结合传统陶瓷制备工艺进行烧结处理,分别得到不同配方在不同烧成温度下的陶瓷试样。其中C-RM组为赤泥烧成后得到的陶瓷试样,C-HCS为铁含量高的铜渣烧成的陶瓷试样,C-CS为低铁铜渣烧成的陶瓷试样,C-MIX为高铁铜渣与赤泥配比为8:2混合后烧成的陶瓷式样 (表1)。
表1 四种试样的化学成分含量及配比

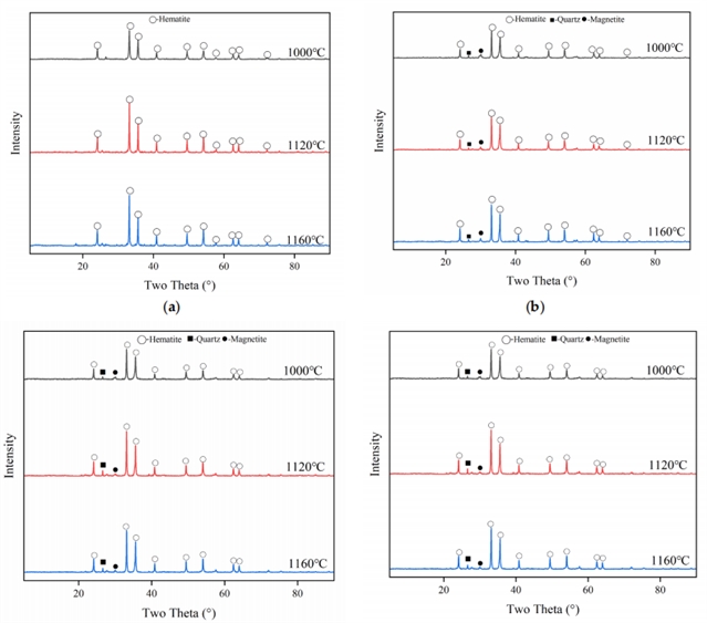
三种原料的XRD图谱如图1所示,烧成后的四组试样的XRD图谱如图2所示,赤泥中的铁主要以三价铁为主,而铜渣中的铁以二价铁为主,烧成过程中,铜渣的二价铁被氧化为三价铁,因此最终烧成的试样矿相以三价铁的赤铁矿为主。

图1 三种原料的XRD图谱

图2 四组试样烧成后得到的XRD图谱
赤泥组陶瓷试样的SEM-EDS图谱如图3所示,赤泥组陶瓷中铁氧化物由于在烧成过程中没有得到氧化,因而以弥散的形式存在,并且有较小的晶粒尺寸。

图3 赤泥组蓄热陶瓷材料的SEM-EDS能谱
高铁铜渣组陶瓷试样的SEM-EDS能谱如图4所示,该组陶瓷烧成后形成了三个相区,A相区为块状的铁氧化物区域,且具有较大的晶粒尺寸,B相区为硅氧化物区域,C相区为颗粒、条带状区域,形成了一个核-壳结构,铜渣中的铁橄榄石相在烧成过程中被氧化分解为三价铁的赤铁矿 (成为壳) 以及硅氧化物 (成为核)。

图4 高铁铜渣组蓄热陶瓷材料的SEM-EDS能谱
四组试样的力学性能及蓄热性能如表2所示。相比于其他组别,高铁铜渣组试样具有更高的铁氧化物含量、铁氧化物相区较大的晶粒尺寸,二价铁物相含量高,其烧成后得到的陶瓷具有优异的抗折强度、比热容及导热系数。
表2 四组试样的性能

04研究总结
本文利用赤泥、铜渣两种含铁冶金固废制备得到了具有优良蓄热性能的蓄热陶瓷材料,并从化学成分、物相以及微观形貌分析研究了对材料性能带来的影响,铜渣具有较高的二价铁氧化物含量,在烧成过程中得到氧化,形成三种类型的矿相,其中铁氧化物相区具有较大的晶粒尺寸,而含铁含硅相区形成了以铁氧化物为壳、含硅相为核的核-壳结构,对材料的力学及蓄热性能具有重要影响。本研究对利用含铁冶金固废制备低成本蓄热陶瓷材料及大宗冶金固废的规模化、资源化利用具有重要意义。
原文出自 Materials 期刊
Xue, C.; Lu, P.; Wu, Z.; Li, Y. Preparation and Characterization of Thermal Storage Ceramics from Iron-Containing Solid Waste. Materials 2025, 18, 909.
特别声明:本文转载仅仅是出于传播信息的需要,并不意味着代表本网站观点或证实其内容的真实性;如其他媒体、网站或个人从本网站转载使用,须保留本网站注明的“来源”,并自负版权等法律责任;作者如果不希望被转载或者联系转载稿费等事宜,请与我们接洽。