|
|
| 南京农业大学园艺学院:温度对芹菜冻品贮藏及解冻过程中色素降解的影响 | MDPI Horticulturae |
|
论文标题:Effect of Temperature on Photosynthetic Pigment Degradation during Freeze–Thaw Process of Postharvest of Celery Leaves
论文链接:https://doi.org/10.3390/horticulturae10030267
期刊名:Horticulturae
期刊主页:https://www.mdpi.com/journal/horticulturae
研究导读
芹菜是食品工业消费量较大的绿叶类蔬菜之一,常用作水饺、包子等速冻食品馅料。新鲜芹菜叶片和叶柄富含叶绿素及类胡萝卜素,其含量与芹菜制品外观及营养品质密切相关。冻融温度和冻融时间作为影响芹菜色素降解的关键因素,其对芹菜制品色素类物质含量变化的影响有待深入探究。南京农业大学园艺学院熊爱生教授及其团队在Horticulturae期刊发表文章“Effect of Temperature on Photosynthetic Pigment Degradation during Freeze–Thaw Process of Postharvest of Celery Leaves”。研究通过设置不同冻融温度条件,测定冻融储存过程中芹菜光合色素含量变化,探讨冻融温度和冻融时间对芹菜叶片和叶柄光合色素降解的影响,为速冻芹菜产品储存解冻过程中温度的合理设置提供参考。
方法与结论
试验以‘宁芹1号’为研究材料,于南京农业大学作物遗传与种质创新利用全国重点实验室伞形科蔬菜作物研究室人工气候生长室进行种植。生长环境条件为白天25 ℃ 16 h,夜间18 ℃ 8 h,相对湿度为60%~70%。播种65天后,将叶片和叶柄分开取样后等分,分别置于−80 ℃ (模拟超低温冷藏) 和−18 ℃ (模拟普通冰箱冷冻温度) 两种温度冻存一个月。随后设置4 ℃ (模拟普通冰箱制冷温度) 和25 ℃ (模拟正常室温温度) 两个解冻温度,并在解冻开始后的0、3、6、12和24 h分别测定芹菜样品总叶绿素 (包括叶绿素a、叶绿素b) 和总类胡萝卜素含量。本研究采用双因素正交设计法,每个处理均设3个生物学重复。结合Duncan及主成分分析法,对不同处理组合、不同解冻时期和不同叶片部位的试验数据进行差异显著性及主成分分析。

图为不同贮藏及解冻温度下芹菜冻品色素降解的主成分分析。
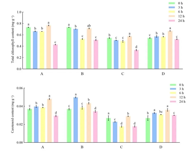
研究结果显示,较低的冻融温度有利于芹菜叶片和叶柄中光合色素的保存,冻融温差增大可能提高细胞结构损伤和色素降解的风险。在−80 ℃的冻藏条件下,与−18 ℃相比,色素损失率可降低近20%,而−80 ℃和4 ℃可能是较理想的冻融温度组合。伴随解冻温度的升高和解冻时间的延长,光合色素损失量随之增加。芹菜叶不同部位的结构和生化差异也是导致芹菜叶片和叶柄色素物质降解差异的重要因素。解冻过程中,芹菜叶片中光合色素的含量和降解率均高于叶柄,在解冻后6~12 h内,其叶绿素总损失率可高达35%。不同种类的光合色素在高温氧化性能方面也存在差异,叶绿素对温度的变化更敏感,降解率明显高于类胡萝卜素。

图为不同冻融温度对芹菜叶片解冻过程中总叶绿素 (上图) 及总类胡萝卜素 (下图) 吸光含量的影响。
研究总结
本文从调节冻融温度,以延缓速冻芹菜产品贮藏及解冻过程中光合色素降解的角度出发,测定了不同冻融温度处理条件下芹菜叶片和叶柄中光合色素的含量变化,并对试验数据进行显著分析和主成分分析。结果显示,较低的冻融温差有利于光合色素的保存,随着解冻时间的延长,光合色素损失量增加。叶片中光合色素的降解速度快于叶柄,且叶绿素对解冻时间和冻融温度的敏感性均高于类胡萝卜素,导致了光吸收含量的显著变化。
Horticulturae期刊介绍
主编:Luigi De Bellis, Università del Salento, Italy
期刊重点关注温带到热带园艺的所有领域及相关学科,主题包括果树、蔬菜、花卉、苗圃和风景、以及草药和香料作物等,研究涉及整个园艺供应链。
|
2024Impact Factor
|
3.0
|
|
202
4
CiteScore
|
5.1
|
|
Time to First Decision
|
16.9 Days
|
|
Acceptance to Publication
|
2.4 Days
|
特别声明:本文转载仅仅是出于传播信息的需要,并不意味着代表本网站观点或证实其内容的真实性;如其他媒体、网站或个人从本网站转载使用,须保留本网站注明的“来源”,并自负版权等法律责任;作者如果不希望被转载或者联系转载稿费等事宜,请与我们接洽。