|
|
|
|
|
构筑开放锡位点实现酸性增强的二甲醚羰基化丝光沸石催化剂设计 Engineering |
|
|
论文标题:Designing a Mordenite Catalyst with Enhanced Acidity for Dimethyl Ether Carbonylation by Engineering Open Sn Sites
期刊:Engineering
DOI:https://doi.org/10.1016/j.eng.2023.01.020
微信链接:点击此处阅读微信文章
文章速览

天津大学黄守莹、马新宾团队在《Engineering》发表了题为“Designing a Mordenite Catalyst with Enhanced Acidity for Dimethyl Ether Carbonylation by Engineering Open Sn Sites”的研究论文,设计并成功制备了一系列8-MR酸性增强的Sn改性分子筛。李媖为论文第一作者,黄守莹、马新宾为通讯作者。
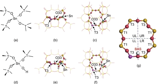
分子筛作为固体酸催化剂具有酸性可控、择型催化、稳定性好等优点,广泛应用工业催化过程。精确调控分子筛酸性即可针对目标反应理性设计与构建高性能催化剂。二甲醚羰基化是通过链增长实现C1资源利用的重要反应。丝光沸石(MOR)8元环上的Brønsted酸可以高选择性地催化该反应。提高Brønsted酸特别是8元环内Brønsted酸的强度有望促进反应的进行。文章首先采用密度泛函理论(DFT)计算预测锡(Sn)改性对MOR酸性的影响。在理论计算结果的指导下,利用缺陷构建-杂原子取代两步后合成法制备了一系列Sn改性的MOR。通过部分脱硅,在保持分子筛四配位骨架Al结构的前提下,成功制备了具有开放孤立四配位Sn位点的MOR催化剂。通过酸性表征确定Sn的引入提高了MOR的Brønsted酸强度。因此,催化剂在二甲醚羰基化反应中表现出优异的催化性能。通过动力学和DFT计算相结合,揭示了酸强度提高对反应的促进机制,即强酸可促进二甲醚的吸附与解离,并降低乙酰基生成的反应能垒,从而提高反应性能。该工作阐明了强酸对二甲醚羰基化反应的促进机制,同时提出了一种可精确调控分子筛酸性的策略。

图1 (a)~(f)分子筛中四配位Sn物种的构型:闭合Sn位点的示意图
论文题目
Designing a Mordenite Catalyst with Enhanced Acidity for Dimethyl Ether Carbonylation by Engineering Open Sn Sites
构筑开放锡位点实现酸性增强的二甲醚羰基化丝光沸石催化剂设计
作者
李媖, 于曼, 齐国栋, 刘云铎, 吕静, 黄守莹*, 马新宾*
开放获取论文
https://doi.org/10.1016/j.eng.2023.01.020
更多内容
新研究揭示茂金属催化剂下烯烃共聚奥秘,助力聚烯烃材料创新
我国科学家揭示金属玻璃微观结构稳定新机制
我国科研团队研发新型难熔高熵合金,超高温强度优异
Engineering青年编委招募
Engineering征稿启事:人工智能赋能工程科技
特别声明:本文转载仅仅是出于传播信息的需要,并不意味着代表本网站观点或证实其内容的真实性;如其他媒体、网站或个人从本网站转载使用,须保留本网站注明的“来源”,并自负版权等法律责任;作者如果不希望被转载或者联系转载稿费等事宜,请与我们接洽。