|
|
| Mathematics:覆盖纯数学与应用数学的所有领域 | MDPI 期刊推荐 |
|
期刊名:Mathematics
期刊主页:https://www.mdpi.com/journal/mathematics
期刊介绍
·Impact Factor: 2.2 (2024) | 2024 CiteScore: 4.6 ·JCR排名 (2024): Q1, 数学 ·Scopus排名 (2024): Q1:通用数学;Q2:计算机科学、工程 Mathematics (ISSN 2227-7390) 是一个专注于数学领域的国际开放获取同行评审期刊,涵盖纯数学和应用数学的各个领域。自2013年创刊以来,Mathematics 期刊发展迅速,其于2015年被ESCI数据库收录,于2017年被Scopus数据库收录,2018年被SCIE数据库收录。Mathematics 涵盖纯数学和应用数学的各个领域。重点发表代数与逻辑、几何与拓扑、数学分析、统计与运筹学、应用数学,包括数学与计算机科学、控制理论与力学、数学生物学、数学物理、金融数学等数学在其他各学科应用的文章。期刊致力于为研究者提供一个高质量高效率的学术交流平台。目前投稿至首次决定的时间中位数为18.4天,从接受稿件到正式发表,时间中位数为2.4天。 |
编委团队
期刊在国内100多位编委及其他全球700多位学编的支持下,秉承着开放获取的理念,通过与期刊办公室之间的高效协同工作,致力于为广大作者提供专业、快速和优质的发表体验,加速科研成果的传播和影响力。
01 期刊主编及栏目主编
|
|
Prof. Dr. Francisco Chiclana
英国德蒙福特大学
|
|
|
Prof. Dr. Michel Chipot
苏黎世联邦理工学院
|
|
|
Prof. Dr. Adolfo Ballester-Bolinches
西班牙巴伦西亚大学
|
|
|
Prof. Dr. Antonio Di Crescenzo
意大利萨勒诺大学
|
|
|
Prof. Dr. Niansheng Tang
云南大学
|
|
|
Prof. Dr. Juan Ramón Torregrosa Sánchez
西班牙瓦伦西亚理工大学
|
|
|
Prof. Dr. Sergei Petrovskii
英国莱斯特大学
|
|
|
Prof. Dr. Manuel De León
西班牙高等科研理事会 数学科学研究所
|
|
|
Prof. Dr. Marjan Mernik
斯洛文尼马里博尔大学
|
|
|
Prof. Dr. Paolo Mercorelli
德国吕讷堡大学
|
|
|
Prof. Dr. Daniele Mortari
德克萨斯农工大学
|
02 期刊顾问委员会

|
Prof. Dr. Michel L. Lapidus 加州大学 |

|
Prof. Dr. Dachun Yang 北京师范大学 |

|
Prof. Dr. James A. Yorke 马里兰大学 |
精选文章
1.
On the Analytical Solution of the SIRV-Model for the Temporal Evolution of Epidemics for General Time-Dependent Recovery, Infection and Vaccination Rates
一般时变恢复率、感染率和疫苗接种率流行病时间演化的SIRV模型解析解
Martin Kröger and Reinhard Schlickeiser
https://www.mdpi.com/2644532

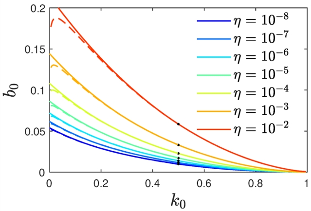
所需K0与b0参数值
文章亮点:
(1) 本文利用了易感-感染-恢复/移除疫苗 (SIV) 流行病模型的动力学方程,定量地考虑了疫苗接种运动的影响,同时也在预测和/或分析流行病暴发的时间演变方面发挥重要作用。
(2) 本文考虑的应用包括接种疫苗延迟开始的平稳比率的情况,以及以恒定速率延迟接种疫苗的恢复与感染率的振荡比率,这些是先前研究分析处理中所不能达到的新的突破。
(3) 本文使用了空间集成量的SIRV流行病模型方程,近似计算了给定种群规模下新感染率及其相应累积分数的时间依赖性。

识别二维码,阅读英文原文。
Kröger, M.; Schlickeiser, R. On the Analytical Solution of the SIRV-Model for the Temporal Evolution of Epidemics for General Time-Dependent Recovery, Infection and Vaccination Rates.Mathematics2024,12, 326.
2.
Polynomial Tau-Functions of then-th Sawada–Kotera Hierarchy
N级Sawada-Kotera层次的多项式Tau函数
Victor Kac and Johan van de Leur
https://www.mdpi.com/2692656

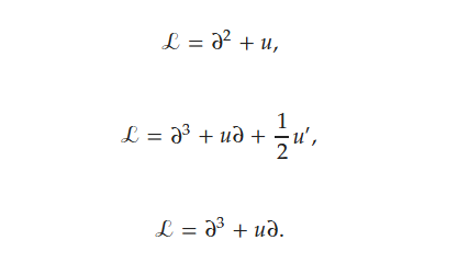
Lax算子的表达式
文章亮点
(1) 本文回顾了B型Kadomtsev-Petviashvili (BKP) 层次结构,并找到了第n级简化BKP层次结构 (即第n个Sawada-Kotera层次结构) 的所有多项式Tau函数。
(2) 本文对孤子方程的三种解——有理解、孤子解和函数解进行了广泛的研究,并进一步利用顶点算子构造孤子解。
(3) 利用群变换方法构造多项式函数,得到了有理解,进而得到了包括Sawada-Kotera方程在内的第n个Sawada-Kotera层次的所有多项式Tau函数的表达式。

识别二维码,阅读英文原文。
Kac, V.; van de Leur, J. Polynomial Tau-Functions of the n-th Sawada–Kotera Hierarchy. Mathematics2024,12, 681.
3.
Bayesian Learning in an Affine GARCH Model with Application to Portfolio Optimization
仿射GARCH模型中的贝叶斯学习及其在投资组合优化中的应用
Marcos Escobar-Anel, Max Speck and Rudi Zagst
https://www.mdpi.com/2797340

HN-GARCH的极大似然估计
文章亮点
(1) 本文研究了一种方法来适应GARCH模型中的不确定性,实现通过贝叶斯学习改进投资组合决策。
(2) 本文的研究重心在于分析驱动预期收益的单参数。在推导了不确定性隐含GARCH (UI-GARCH) 模型之后,研究了动态投资组合优化问题中不确定性的学习及其对投资的影响。
(3) 在充分且完善的参数选择下,本文提出的方法也可以适用于其他GARCH模型和投资组合优化以外的应用。

识别二维码,阅读英文原文。
Escobar-Anel, M.; Speck, M.; Zagst, R. Bayesian Learning in an Affine GARCH Model with Application to Portfolio Optimization.Mathematics2024,12, 1611.
特刊征稿
1. Applied Computing and Artificial Intelligence, 2nd Edition
投稿截止日期: 2025年11月10日
https://www.mdpi.com/si/mathematics/07E47T79P8

2. Advanced Numerical and Computational Methods for Engineering and Applied Mathematical Problems, 2nd Edition
投稿截止日期: 2025年11月30日
https://www.mdpi.com/si/mathematics/Numer_Comput_Methods_Eng_Math_II

3. Stochastic Models with Applications, 2nd Edition
投稿截止日期:2025年12月31日
https://www.mdpi.com/si/mathematics/Stochastic_Models_Appl

4. Nonlinear Wave Dynamics: Theory and Application
投稿截止日期:2025年12月31日
https://www.mdpi.com/si/mathematics/JRH67RHIXU

Mathematics期刊首届青年编委招募
招募条件
• 在过去10年内获得博士学位 (考虑职业中断的例外情况,包括病假和家庭原因);
• 以第一作者身份发表至少五篇同行评审论文;
• 在数学与应用数学领域发表过具有影响力的论文的研究人员;
• 愿意满怀热情地投入时间到期刊发展;
• 积极参与学术交流 (例如具有在学术会议上演讲或加入到专业组织的经验)。
申请方式:请将个人学术简历发送至mathematics@mdpi.com,邮件主题为“Mathematics 期刊青年编委申请+姓名+机构+研究方向”;
报名截止时间:2025 年 8 月 31 日;
遴选流程:简历初审→编委会遴选→邮件通知→公示。
详见:https://mp.weixin.qq.com/s/9Fl3Ulsmsrik3tMjaQF1aA
第二届国际数学与应用在线会议 (IOCMA2026)
由MDPI期刊Mathematics 主办的第二届国际数学与应用在线会议 (The 2nd InternationalOnline Conference on Mathematics and Applications, IOCMA2026) 将于2026年6月10日至12日在线举行,本次活动免费对全球数学及应用数学领域所有学者开放。会议将开放口头报告和海报展示,并设立多项学术奖项,以鼓励优秀研究成果。获奖者将有机会获得200瑞士法郎的奖金及在Mathematics 期刊上优惠发表论文的机会。欢迎全球数学及相关领域的研究人员、专家学者踊跃投稿并参与会议。
摘要投稿截止日期:2026年2月10日;
注册截止日期:2026年6月5日。
详见:https://sciforum.net/event/IOCMA2026
欢迎广大数学领域的学者投稿与合作,共同推动数学研究的发展与创新。
联系我们
如您对投稿有任何疑问,欢迎阅读作者指南,或联系Mathematics期刊编辑部 (Mathematics@mdpi.com)
|
期刊投稿通道
|
 |
|
Mathematics期刊首届青年编委招募详情
|
 |
|
申请成为客座编辑
|
 |
|
电子会议投稿指南
|
 |
特别声明:本文转载仅仅是出于传播信息的需要,并不意味着代表本网站观点或证实其内容的真实性;如其他媒体、网站或个人从本网站转载使用,须保留本网站注明的“来源”,并自负版权等法律责任;作者如果不希望被转载或者联系转载稿费等事宜,请与我们接洽。