中国科学院云南天文台南方基地副研究员熊定荣及其合作团队通过深入分析喷流活动星系核(AGN)的大量光变数据,在揭示其光变机制方面取得了重要进展,相关研究成果近日发表于国际天文学期刊《The Astrophysical Journal Supplement Series》上。
喷流AGN是已知宇宙中持续释放能量最强的天体之一,因其强大的相对论性喷流和剧烈的光变现象而备受关注,理解这些活动星系核的光变机制,不仅有助于揭示其内部的物理过程,还能深化对驱动这些现象的中心“黑洞引擎”以及其周围环境的认识。然而,关于喷流AGN的光变机制,目前尚未达成统一的解释,仍缺乏一个全面且清晰的光变模型。

图1 高斯过程中阻尼随机游走模型拟合光学光变曲线及其拟合效果评估
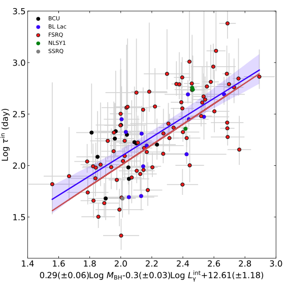
研究团队利用Zwicky瞬变设施(ZTF)提供的长期高质量光学观测数据,结合高斯过程(GP)中的阻尼随机游走(DRW)模型,对喷流AGN的光变曲线进行了更为精细的拟合。不同于以往的研究,团队采用目前最大规模的(具有伽马射线辐射的)喷流AGN样本,创新性地引入喷流功率(以伽马射线为表针)作为新参数,通过非参数的高斯回归方法进行分析(图1)。研究结果显示,单一的DRW模型并不能解释所有喷流AGN的光变行为,更为重要的是,发现了内秉光变特征时标、黑洞质量与喷流功率之间存在新的关系(图2),而这个关系在吸积有效和无效的喷流AGN中表现出明显的差异。

图2 吸积有效喷流AGN中内秉光变特征时标对黑洞质量、喷流功率的相关性分析图
基于这些观测和分析,该团队提出一个更加清晰和完整的光变图景:高吸积系统的光学光变可能源自标准吸积盘中的紫外辐射区,这与非喷流AGN类似,并且与喷流中激波的加速过程直接相关,当喷流方向正向观测者时,光变会通过多普勒聚束效应得到放大;而低吸积的喷流AGN,其光变时标与电子的逃逸时标相符。
这一研究不仅丰富了人们对喷流AGN光变机制的理解,也为未来更精确的光变模型构建和观测设计提供了强有力的支持,推动了对宇宙极端天体物理过程的探索。
该研究得到国家自然科学基金、中国科学院西部之光、云南省青年拔尖人才、中国载人航天工程巡天空间望远镜(CSST)专项科学研究基金等项目的支持。(来源:中国科学院云南天文台)
相关论文信息:https://iopscience.iop.org/article/10.3847/1538-4365/add481
特别声明:本文转载仅仅是出于传播信息的需要,并不意味着代表本网站观点或证实其内容的真实性;如其他媒体、网站或个人从本网站转载使用,须保留本网站注明的“来源”,并自负版权等法律责任;作者如果不希望被转载或者联系转载稿费等事宜,请与我们接洽。