|
|
| 基于超快脉冲整形调控的二维半导体中的激子极化动力学 |
|
导读
近日,特拉维夫大学物理与天文学院的Haim Suchowski教授团队提出了一种基于脉冲整形来控制二维半导体中激子极化动力学的新方法,该方法引入了一种独特的选择性控制机制,用于调控 TMDs 及其异质结构中的相干激子响应,该技术是片上超快和非线性光学技术中的重要进展,实现了非线性传感的增强、宽带光源的压缩和高效的频率转换器。
该文章近日发表在国际顶尖学术期刊《Light: Science & Applications》,题为“Shaping Exciton Polarization Dynamics in 2D Semiconductors by Tailored Ultrafast Pulses”。
研究背景
晶体半导体是现代电子设备的核心元件,通过脉冲整形对晶体半导体进行光学相干控制是研究其光学特性的重要手段,该技术具有明确的能级和超过皮秒时间尺度的相干时间,能够实现激发态瞬态分布的增强、选择性量子态控制以及化学键的形成与分解等,并已经在原子、分子和量子点中得到广泛应用。然而,三维晶体半导体的众多激发态之间的能级差异很小,导致其很难在室温下进行有效相干控制。
二维层状半导体(尤其是单层过渡金属二硫化合物——TMDs)并不受限于温度,具有可以容纳非常稳定的电子-空穴对的直接能隙,即使在室温下,这些粒子也会表现出一系列Rydberg共振激子跃迁的特性,从而主导晶体的光学特性。TMDs独特的半导体物理特性和结构堆叠能力,使其成为未来光电子器件中有潜力的多功能、紧凑构建模块,并为研究半导体独特的光学响应提供了理想的平台。
尽管大量诸如泵浦探测和多维光谱学等研究已经探索了TMDs中激子相干性、相互作用和非线性光学特性,但通过脉冲整形直接控制其相干极化动力学还有很大的研究空间。传统技术依赖于离散脉冲之间的扫描时间延迟,并受限于脉冲在其变换限制形式中的时间宽度。
脉冲整形则能够实现单个脉冲的相位调制,为实验增加了新的控制维度。特拉维夫大学物理与天文学院的Haim Suchowski教授团队提出了一种基于脉冲整形来控制二维半导体中激子极化动力学的新方法,该方法引入了一种独特的选择性控制机制,用于调控 TMDs 及其异质结构中的相干激子响应,该技术是片上超快和非线性光学技术中的重要进展,实现了非线性传感的增强、宽带光源的压缩和高效的频率转换器。
该文章近日发表在国际顶尖学术期刊《Light: Science & Applications》,题为“Shaping Exciton Polarization Dynamics in 2D Semiconductors by Tailored Ultrafast Pulses”。
研究创新
研究人员在常规环境条件下使用亚10 fs的脉冲整形器,研究相干激子极化的时间控制是如何影响单层WSe2中四波混频的生成。具体而言,研究人员在实验中使用了基于空间光调制器(SLM)的脉冲整形装置(如图1所示)。STM是一种位于4F系统的傅里叶平面中一维液晶像素化阵列。实验中,STM将亚10 fs的超宽带脉冲分散为独立的光谱分量,并在时间上整形脉冲的光谱相位。同时,傅里叶平面还充当超陡边缘滤波器对光谱进行了滤波。整形和滤波后的脉冲(1.2-1.77 eV)会聚焦到样品上,研究人员使用超宽带脉冲对其与WSe2单层结构的相互作用进行了线性反射测量,显示了在 1.66 eV 附近的共振线形,确认了 A1s共振态的光激发。除了线性相互作用,脉冲还与单层结构发生非线性相互作用,产生各种混合过程,如 SFG 和 FWM(如图2所示)。图2(a)展示了由啁啾脉冲产生的FWM光谱。图2(b)展示了不同脉冲的电场分布以及极化分布。

图1. 单层 WSe2中 A 激子共振的相干控制

图2. 单层 WSe2中 A1s 激子态的非瞬时共振动力学
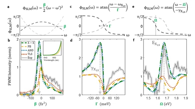
研究人员进一步通过定制化的多量子路径干涉,将非线性响应从相消干涉调整为相长干涉,从而使比变换限制脉冲产生的四波混频增强 2.6 倍。这证明了一种通过脉冲整形来抵消光与物质相互作用中出现的时间色散,从而实现非线性增强的通用方法。这种方法能够激发 1s 和 2s 态,表明该方法具备对产生非线性的共振态进行选择性控制的能力。研究人员测量了不同相位函数下的FWM光谱信号(如图3和图4所示),其中图3 (a, c, e) 是三种相位函数的示意图,图3 (b, d, f) 展示了实验测量的 FWM 结果与理论预测的对比,图4展示了由反正切相位叠加引发的 FWM强度变化。通过对比实验数据与理论结果,研究人员发现主导了非线性响应的不是泡利阻塞,而是激子-激子间的相互作用。

图3. 由三种不同相位函数(包括泡利阻塞、激子-激子相互作用、非谐振子和双能级系统)引起的 FWM,实验与三种理论模型的对比

图4. 由反正切相位叠加引发的 FWM强度变化
总结与展望
Haim Suchowski教授团队提出了一种基于脉冲整形来控制二维半导体中激子极化动力学的新方法,可以增强非线性传感、压缩宽带光源并且实现高效的频率转换器。这种在原子级薄晶体中操纵激子极化动力学的能力为探索凝聚态系统中的广泛共振现象奠定了基础,并展示了脉冲整形在精确量子态控制和二维层状半导体中非线性光学过程定制操控方面的潜力,为先进光电子设备中实现精确光学控制开辟了新的可能性。(来源:LightScienceApplications微信公众号)
相关论文信息:https://doi.org/10.1038/s41377-025-01748-7
特别声明:本文转载仅仅是出于传播信息的需要,并不意味着代表本网站观点或证实其内容的真实性;如其他媒体、网站或个人从本网站转载使用,须保留本网站注明的“来源”,并自负版权等法律责任;作者如果不希望被转载或者联系转载稿费等事宜,请与我们接洽。