|
|
| FIE 双功能PtTiO2-Ov催化剂:增强酸性HOR与ORR中的电子转移及CO耐受性 |
|
论文标题:Bifunctional Pt/TiO2-Ovcatalysts for enhanced electron transfer and CO tolerance in acidic HOR and ORR
期刊:Frontiers in Energy
作者:Bianyong Lian, Jinghong Chen , Lingfei Li , Shuqi Deng , Kaili Wang , Wei Yan , Jiujun Zhang
发表时间:13 Jan 2025
DOI:10.1007/s11708-025-0990-8
微信链接:点击此处阅读微信文章

文章简介
开发用于氢氧化反应(HOR)和氧还原反应(ORR)的抗腐蚀、抗中毒电催化剂对于质子交换膜燃料电池(PEMFC)的有效应用具有重要意义。研究采用微波辅助方法成功合成了富含氧空位(Ov)的非碳支撑催化剂Pt/TiO2-Ov。该催化剂是一种双功能电催化剂,具有优异的耐污染性,可实现高效的HOR和ORR性能。研究表明,Pt/TiO2-Ov载体中的氧空位通过电子金属-载体相互作用(EMSI)促进Pt和Ti之间的电子转移。在0.1 mol/L HClO4电解液中,Pt/TiO2-Ov的质量活性和比活性是商用Pt/C的1.24倍。此外,Pt/TiO2-Ov催化剂在氢气和氧气环境下经过长期耐久性测试后,电流密度衰减极小,展现出卓越的抗毒化能力。该研究有望在PEMFC中得到实际应用。
研究背景及意义
氢燃料电池作为零排放能源转换装置备受关注,PEMFC在电动汽车领域应用广泛。PEMFC需大量碳载铂催化剂,但传统碳载铂催化剂面临碳载体易腐蚀、CO中毒问题。非碳载体(如过渡金属氧化物)通过电子金属-载体相互作用(EMSI)可增强稳定性,但需解决低导电性与耐久性不足的挑战。研究提出以富含氧空位的TiO2(TiO2-Ov)为载体,利用微波辅助法负载Pt纳米颗粒,旨在通过氧空位诱导的EMSI效应提升催化活性及抗CO毒化能力。该研究为负载型金属电催化剂的发展提供新思路,推动PEMFC在实际中的应用,也为清洁能源技术的实际应用奠定了重要基础。
研究内容及结论
文章首先采用溶胶-凝胶法,将Ti(SO4)2和SiO2分别溶解、混合,经冰浴超声、调节pH、多次洗涤等步骤,再经过油浴加热、水热反应、真空干燥和高温热处理,得到TiO2-Ov。再通过不同浓度HF刻蚀TiO2/SiO2并进行高温氢退火,优化产量和比表面积,得到富含氧空位的TiO2-Ov。最后将TiO2-Ov分散在乙二醇中,依次加入NaOH溶液、H2PtCl6·6H2O等,经搅拌、超声、微波合成等操作,再洗涤、干燥,制得Pt/TiO2-Ov催化剂。
通过 XRD、SEM、TEM、HAADF-STEM等多种技术对催化剂结构进行表征,证实成功制备了Pt/TiO2-Ov催化剂,且Pt均匀分散在TiO2-Ov载体上。XPS、Raman光谱等分析表明,氧空位的存在改变了TiO2的结构和电子状态,促进了Pt与载体间的电子转移,形成EMSI效应,降低了TiO2-Ov的带隙,增强了导电性。

图1 TiO2-Ov设计和表征示意图
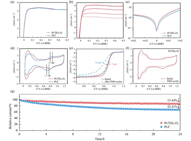
在0.1 mol/L HClO4溶液中,通过旋转圆盘电极测量评估TiO2-Ov和Pt/C的电催化HOR和ORR活性。结果显示,TiO2-Ov在HOR和ORR中均表现出优于Pt/C的性能,其半波电位更优、电流密度更高,且在耐久性测试中衰减更小。这归因于EMSI效应优化了Pt的电子性质,增强了活性位点的吸附行为,提高了催化效率。

图2 Pt/TiO2-Ov和Pt/C电催化剂的HOR和ORR性能
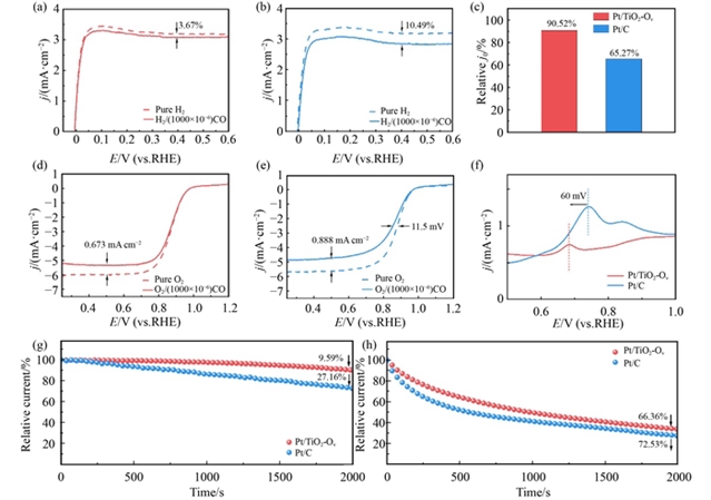
研究Pt/TiO2-Ov对CO的耐受性,发现该催化剂可减少Pt与CO的相互作用。在HOR和ORR过程中,Pt/TiO2-Ov在含CO气氛下的性能衰减明显小于Pt/C,CO溶出伏安法测试进一步研究了CO的吸附能力,表明其能有效削弱Pt-CO相互作用并促进CO快速氧化,展现出良好的CO耐受性。

图3 Pt/TiO2-Ov和Pt/C电催化剂的活性和耐CO测试
文章成功开发了基于TiO2-Ov的双功能Pt催化剂,通过氧空位介导的EMSI效应优化Pt电子结构,显著提升酸性环境下HOR/ORR活性、稳定性及抗CO毒化能力。该策略为非碳载体催化剂设计提供了新思路,推动PEMFC在复杂工况下的实际应用。
文章信息
Bifunctional Pt/TiO2-Ovcatalysts for enhanced electron transfer and CO tolerance in acidic HOR and ORR
Bianyong Lian, Jinghong Chen, Lingfei Li, Shuqi Deng, Kaili Wang, Wei Yan, Jiujun Zhang
Abstract:
The development of anti-corrosion and anti-poison electrocatalysts for both the hydrogen oxidation reaction (HOR) and oxygen reduction reaction (ORR) is of great importance for effective applications of proton exchange membrane fuel cells (PEMFCs). In this study, a non-carbon supported catalyst, Pt/TiO2-Ov, enriched with oxygen vacancies (Ov), is successfully synthesized using a microwave-assisted method. This catalyst is developed as a bifunctional electrocatalyst with superior contamination tolerance, enabling efficient HOR and ORR performance. The electronic metal-support interaction (EMSI) is leveraged to facilitate electron transfer between Pt and Ti atoms, induced by the formation of oxygen vacancy channels in the small-sized, high surface area TiO2-Ovsupport. Notably, TiO2-Ovhas a lower bandgap than commercial TiO2, enhancing its catalytic properties. In a 0.1 mol/L HClO4 electrolyte, the normalized Pt mass activity (jk,m) and specific activity (j0,s) of TiO2-Ovare 1.24 times higher than those of commercial Pt/C. Furthermore, Pt/TiO2-Ovcatalyst exhibits minimal current density decay after a prolonged durability testing under hydrogen and oxygen atmospheres. Remarkably, under a H2/(1000×10–6) CO atmosphere, the relative retention rate of TiO2-Ovsignificantly exceeds that of Pt/C catalyst, demonstrating its superior CO tolerance and promising potential for practical applications in PEMFCs. This study highlights the critical role of the strong metal-support interaction between the reducible oxide support and the noble metal Pt in improving long-term performance and CO poisoning resistance.
Keywords:
CO poisoning; hydrogen oxidation reaction; oxygen reduction reaction; proton exchange membrane fuel cells (PEMFCs); Pt/TiO2 catalyst
Cite this article:
Bianyong Lian, Jinghong Chen, Lingfei Li, Shuqi Deng, Kaili Wang, Wei Yan, Jiujun Zhang. Bifunctional Pt/TiO2-Ovcatalysts for enhanced electron transfer and CO tolerance in acidic HOR and ORR. Front. Energy,
https://doi.org/10.1007/s11708-025-0990-8
扫描二维码,阅读原文

期刊简介
Frontiers in Energy是中国工程院院刊能源分刊,高教社Frontiers系列期刊之一。由中国工程院、上海交通大学和高等教育出版社共同主办。翁史烈院士和倪维斗院士为名誉主编,中国工程院院士黄震、周守为、苏义脑、彭苏萍担任主编。加拿大皇家科学院、加拿大工程院、中国工程院外籍院士张久俊,美国康涅狄格大学校长、教授Radenka Maric,上海交通大学教授Nicolas Alonso-Vante和巨永林担任副主编。

Frontiers in Energy已被SCIE、Ei Compendex、CAS、Scopus、INSPEC、Google Scholar、CSCD(中国科学引文数据库)、中国科技核心期刊等数据库收录。2024年海内外下载量为110余万,截至2025年03月03日,即时Impact Factor为6.0,即时CiteScore为6.8。
Frontiers in Energy免收版面费,且对于录用的文章提供免费语言润色以保障出版质量。进入外审的稿件(不包括评论、新闻热点等短文),第一轮审稿周期约30天,从审稿到录用平均60天。
更多信息请访问:
http://journal.hep.com.cn/fie(国内免费开放)
https://link.springer.com/journal/11708
联系我们:
FIE@sjtu.edu.cn, (86) 21-62932006
qiaoxy@hep.com.cn, (86) 10-58556482

《前沿》系列英文学术期刊
由教育部主管、高等教育出版社主办的《前沿》(Frontiers)系列英文学术期刊,于2006年正式创刊,以网络版和印刷版向全球发行。系列期刊包括基础科学、 、工程技术和人文社会科学四个主题,是我国覆盖学科最广泛的英文学术期刊群,其中12种被SCI收录,其他也被A&HCI、Ei、MEDLINE或相应学科国际权威检索系统收录,具有一定的国际学术影响力。系列期刊采用在线优先出版方式,保证文章以最快速度发表。
中国学术前沿期刊网
http://journal.hep.com.cn

特别声明:本文转载仅仅是出于传播信息的需要,并不意味着代表本网站观点或证实其内容的真实性;如其他媒体、网站或个人从本网站转载使用,须保留本网站注明的“来源”,并自负版权等法律责任;作者如果不希望被转载或者联系转载稿费等事宜,请与我们接洽。