|
|
|
|
|
FMD | 精彩荐读:帕罗韦德治疗血液透析患者严重急性呼吸综合征冠状病毒2型感染的初步研究 |
|
|
论文标题:A pilot study on Paxlovid therapy for hemodialysis patients with severe acute respiratory syndrome coronavirus 2 infections
期刊: Frontiers of Medicine
作者:Xu Hao, Zhiyao Bao, Ranran Dai , Xiaojing Wu, Xin Li, Muyin Zhang, Hao Li, Lili Xu, Panpan Qiao, Xuefei Liu, Weiting Hu, Ze Zhang, Jie Fang, Min Zhou, Weiming Wang, Jieming Qu
发表时间:15 Feb 2024
DOI: 10.1007/s11684-023-1011-0
微信链接:点击此处阅读微信文章
导 读
上海交通大学医学院附属瑞金医院瞿介明、王伟铭、周敏等在Frontiers of Medicine发表研究论文《帕罗韦德治疗血液透析患者严重急性呼吸综合征冠状病毒2型感染的初步研究》(A pilot study on Paxlovid therapy for hemodialysis patients with severe acute respiratory syndrome coronavirus 2 infections)。本研究针对感染奥密克戎变异株的血液透析患者,评估了调整剂量的奈玛特韦/利托那韦(150毫克/100毫克每日一次,持续5天)的安全性和有效性,结果显示治疗组未出现严重不良反应,且在病毒清除、肺部病变进展控制及淋巴细胞等实验室指标改善方面呈现积极趋势。
新冠疫情背景下,血液透析患者作为慢性肾病群体中的特殊人群,面临着更高的感染风险和不良预后。慢性肾病,尤其是维持性血液透析,已被证实是新冠病毒感染后发展为重症的重要独立危险因素,其死亡风险显著高于普通人群。尽管新冠疫苗的普及有效降低了整体人群的死亡率,但在血液透析患者中,疫苗对奥密克戎变异株的保护效力较德尔塔株有所下降,且该人群的疫苗接种率普遍偏低。与此同时,反复出现的病毒变异株进一步增加了治疗难度,因此探索适用于该人群的抗病毒治疗方案成为亟待解决的临床问题。
针对这一需求,上海交通大学医学院附属瑞金医院瞿介明、王伟铭、周敏等开展了一项前瞻性单中心开放标签随机对照试验,旨在评估奈玛特韦/利托那韦(帕罗韦德)在感染奥密克戎变异株的血液透析患者中的安全性和有效性。
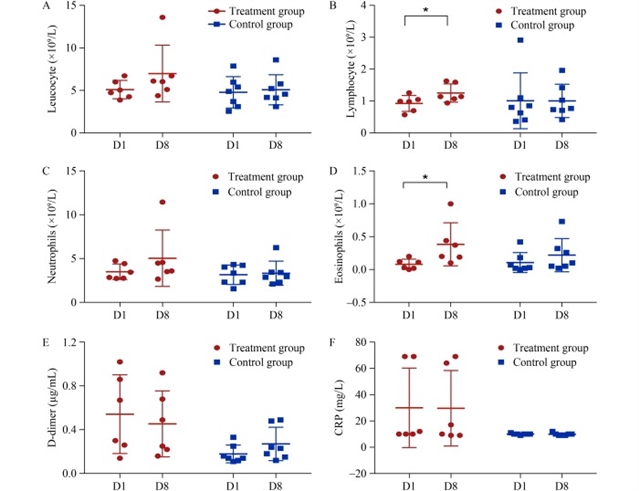
本研究共招募了2022年4月3日至5月30日期间确诊的13名血液透析患者,通过交互式响应技术系统将其随机分为治疗组(6人)和对照组(7人)(图1)。治疗组患者在基础治疗(包括中药、营养支持和吸氧)的基础上,接受每日一次口服150毫克奈玛特韦联合100毫克利托那韦治疗,持续5天;对照组仅接受基础治疗。通过动态监测患者的实验室参数发现,两组患者的白细胞计数在治疗期间未出现明显变化,但治疗组淋巴细胞水平呈现上升趋势(图2)。值得注意的是,治疗组在第8天的淋巴细胞和嗜酸性粒细胞绝对值较第1天显著升高,D-二聚体水平则呈现下降趋势,而对照组未观察到类似变化(图3)。在病毒清除方面,治疗组83.3%的患者在22天内实现核酸转阴,对照组这一比例为57.1%,尽管两组在转阴时间上未达到统计学显著差异,但治疗组在第8天的病毒载量显著低于对照组。胸部计算机断层扫描影像显示,对照组中有4名患者发展为中度肺炎,表现为肺部出现斑片状磨玻璃影,而治疗组患者未观察到病情进展(图4)。

图1 队列选择流程图

图2 所有患者入院第1天与PCR检测结果转阴当天的实验室指标动态变化

图3 治疗组与对照组患者第1天(D1)和第8天(D8)的实验室指标动态变化

图4 治疗组(T1,A–C;T4,D–F)与对照组(C5,G–I;C6,J–L)患者的胸部CT图像
本研究在血液透析患者中探索了帕罗韦德的调整剂量方案(150毫克/100毫克每日一次),并证实了其良好的耐受性和潜在疗效。此前,由于血液透析患者的药物代谢特殊性,帕罗韦德在该人群中的使用缺乏数据支持,甚至被说明书列为禁忌。本研究通过临床实践发现,调整剂量后的帕罗韦德未导致严重肝肾功能损害或其他不良反应,为临床用药提供了新的思路。此外,研究观察到的病毒载量下降和炎症指标改善,为理解帕罗韦德在免疫功能低下人群中的作用机制提供了依据。
然而,研究也存在一定局限性,如样本量较小,可能限制结论的普适性;纳入患者均为轻症感染,未涉及中重度病例;且未深入探讨药物在血液透析患者中的药代动力学特征。未来需要更大规模的多中心研究验证疗效,并进一步优化给药剂量和疗程。总体而言,本研究为血液透析患者的新冠病毒感染治疗开辟了新的途径,其结果对于指导临床实践和制定针对性治疗策略具有重要参考价值。
原文信息
标题
A pilot study on Paxlovid therapy for hemodialysis patients with severe acute respiratory syndrome coronavirus 2 infections
作者
Xu Hao1, Zhiyao Bao2,3, Ranran Dai2,3, Xiaojing Wu1, Xin Li1, Muyin Zhang1, Hao Li1, Lili Xu1, Panpan Qiao1, Xuefei Liu2,3, Weiting Hu2,3, Ze Zhang2,3, Jie Fang4, Min Zhou2,3, Weiming Wang1, Jieming Qu2,3
机构
1. Department of Nephrology, Ruijin Hospital, Shanghai Jiao Tong University School of Medicine, Shanghai 200025, China2. Department of Pulmonary and Critical Care Medicine, Ruijin Hospital, Shanghai Jiao Tong University School of Medicine, Shanghai 200025, China3. Institute of Respiratory Diseases, Shanghai Jiao Tong University School of Medicine, Shanghai 200025, China4. Department of Pharmacy, Ruijin Hospital, Shanghai Jiao Tong University School of Medicine, Shanghai 200025, China
通讯作者
Min Zhou, Weiming Wang, Jieming Qu
引用这篇文章
Xu Hao, Zhiyao Bao, Ranran Dai, Xiaojing Wu, Xin Li, Muyin Zhang, Hao Li, Lili Xu, Panpan Qiao, Xuefei Liu, Weiting Hu, Ze Zhang, Jie Fang, Min Zhou, Weiming Wang, Jieming Qu. A pilot study on Paxlovid therapy for hemodialysis patients with severe acute respiratory syndrome coronavirus 2 infections. Front. Med., 2024, 18(1): 169?179
https://doi.org/10.1007/s11684-023-1011-0
https://journal.hep.com.cn/fmd/EN/10.1007/s11684-023-1011-0
https://link.springer.com/article/10.1007/s11684-023-1011-0
感谢作者对Frontiers of Medicine的信任和支持。
期刊简介
Frontiers of Medicine是中国工程院院刊,由教育部主管,高等教育出版社、中国工程院与上海交通大学医学院附属瑞金医院共同主办。期刊聚焦医学前沿领域的学术进展,关注国际研究热点与中国优秀研究成果,主编为陈赛娟院士、张伯礼院士和王小凡院士。主要报道领域涵盖临床医学、基础医学、转化医学、流行病学、公共卫生、中医药学和人工智能医学等,刊载文章类型包括Research Article、Review、Perspective、Editorial、Case Report、Comment、Letter等。
期刊已被SCI、PubMed、Scopus、中国科技核心期刊、中国科学引文数据库(CSCD)核心库、第三批临床医学领域高质量科技期刊分级目录T1级、化学文摘数据库(CAS)等权威数据库收录,在2025中国科学院文献情报中心期刊分区表医学大类中位列二区。
在线浏览
https://journal.hep.com.cn/fmd
https://link.springer.com/journal/11684
投稿
https://mc.manuscriptcentral.com/fmd

《前沿》系列英文学术期刊
由教育部主管、高等教育出版社主办的《前沿》(Frontiers)系列英文学术期刊,于2006年正式创刊,以网络版和印刷版向全球发行。系列期刊包括基础科学、
、工程技术和人文社会科学四个主题,是我国覆盖学科最广泛的英文学术期刊群,其中12种被SCI收录,其他也被A&HCI、Ei、MEDLINE或相应学科国际权威检索系统收录,具有一定的国际学术影响力。系列期刊采用在线优先出版方式,保证文章以最快速度发表。
中国学术前沿期刊网
http://journal.hep.com.cn

特别声明:本文转载仅仅是出于传播信息的需要,并不意味着代表本网站观点或证实其内容的真实性;如其他媒体、网站或个人从本网站转载使用,须保留本网站注明的“来源”,并自负版权等法律责任;作者如果不希望被转载或者联系转载稿费等事宜,请与我们接洽。