|
|
|
|
|
FCSE | 表面钝化二维MFI型分子筛的制备及其在甲苯-甲醇烷基化反应中的应用 |
|
|
论文标题:Fabrication of surface passivated two-dimensional MFI zeolite for alkylation between toluene with methanol
期刊:Frontiers of Chemical Science and Engineering
作者:Zhenyuan Zou, Shengzhi Gan, Ting Pu, Xingxing Zeng, Yi Huang, Baoyu Liu
发表时间:15 Apr 2024
DOI:10.1007/s11705-024-2407-3
微信链接:点击此处阅读微信文章
对二甲苯(para-xylene)是生产聚对苯二甲酸乙二醇酯(PET)的关键原料,广泛应用于塑料、纤维和包装材料等领域。目前工业上对二甲苯的生产主要依赖石油路线,但其能耗高且资源受限。甲苯与甲醇的烷基化反应作为一种非石油路径,具有原料来源广泛、反应条件温和等优势,尤其在使用具有择形催化性能的ZSM-5分子筛时表现出良好潜力。然而,传统ZSM-5沸石因扩散限制和外表面酸位点导致的对二甲苯异构化问题,限制了其选择性与稳定性。二维MFI沸石虽可改善扩散性能,但其外表面酸位点仍易引起副反应,且在高温处理过程中层状结构易坍塌。

广东工业大学轻工化工学院刘宝玉教授等在《Frontiers of Chemical Science and Engineering》发表了题为“Fabrication of surface passivated two-dimensional MFI zeolite for alkylation between toluene with methanol”(表面钝化二维MFI型分子筛的制备及其在甲苯-甲醇烷基化反应中的应用)的研究论文,通过调控二次结晶过程中的硅物种浓度,在二维柱状MFI沸石表面构建了silicalite-1钝化层,以解决外表面酸位点引发的异构化及多层结构稳定性问题。
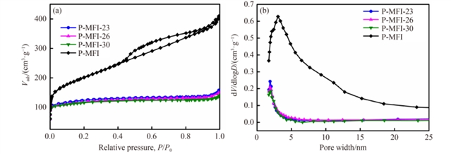
研究采用三步法制备表面钝化二维柱状MFI沸石(P-MFI-x):通过水热合成二维MFI沸石后经气相柱撑得到柱状结构(P-MFI),再通过二次结晶引入silicalite-1实现表面钝化。结构表征显示,P-MFI-x成功屏蔽了外表面的Brønsted酸位点——二维MFI外表面的刺状结构经silicalite-1覆盖后转变为光滑表面,过量的silicalite-1会填充层间空隙导致有序多层结构的破坏。N2吸附-脱附曲线表明,P-MFI因层间堆叠存在介孔,而P-MFI-x的介孔被silicalite-1填充,滞后环消失。酸性分析显示,P-MFI外表面的Brønsted酸位点占比达80%,而P-MFI-x的外表面酸位点特征峰完全消失,Si/Al比随silicalite-1引入量增加而增加。

图1 (a-c) P-MFI-23、(d-f) P-MFI-26和(g-i) P-MFI-30的透射电子显微镜-高分辨率透射电子显微镜图像。

图2 不同沸石的(a) 氮气吸附-脱附等温线和(b) Barrett-Joyner-Halenda(BJH)孔径分布。
催化性能测试在连续流固定床反应器中进行,结果显示,P-MFI-x的对二甲苯选择性随silicalite-1覆盖度提升而增加:P-MFI的选择性为25%,P-MFI-30在苛刻条件下达48%,且再生后结构与活性基本恢复;P-MFI-23因保留部分层间开放结构,选择性约为35%但寿命最长。失活机制研究表明,催化剂失活的主要原因是内部硬焦炭的沉积,会堵塞孔道并覆盖酸位点。

图3 不同沸石的(a) 甲苯转化率和(b) 对二甲苯选择性。

图4 失活沸石的热重分析曲线。
本研究通过silicalite-1表面钝化策略,解决了二维MFI沸石外表面酸位点引发的异构化及多层结构稳定性问题。P-MFI-30展现出48%的对二甲苯选择性和优异的再生性能,P-MFI-23则通过层间开放结构与钝化层协同实现了长寿命运行。这一方法为设计高选择性、高稳定性的烷基化催化剂提供了新思路,对相关材料设计具有参考价值。
引用信息
Zhenyuan Zou, Shengzhi Gan, Ting Pu, Xingxing Zeng, Yi Huang, Baoyu Liu Fabrication of surface passivated two-dimensional MFI zeolite for alkylation between toluene with methanol. Frontiers of Chemical Science and Engineering, 2024, 18(4): 46 DOI:10.1007/s11705-024-2407-3
本文来自
Porous materials for catalysis and separation

扫描二维码 | 查看原文
原文链接:https://journal.hep.com.cn/fcse/EN/10.1007/s11705-024-2407-3
《前沿》系列英文学术期刊
由教育部主管、高等教育出版社主办的《前沿》(Frontiers)系列英文学术期刊,于2006年正式创刊,以网络版和印刷版向全球发行。系列期刊包括基础科学、
、工程技术和人文社会科学四个主题,是我国覆盖学科最广泛的英文学术期刊群,其中12种被SCI收录,其他也被A&HCI、Ei、MEDLINE或相应学科国际权威检索系统收录,具有一定的国际学术影响力。系列期刊采用在线优先出版方式,保证文章以最快速度发表。
中国学术前沿期刊网
http://journal.hep.com.cn

特别声明:本文转载仅仅是出于传播信息的需要,并不意味着代表本网站观点或证实其内容的真实性;如其他媒体、网站或个人从本网站转载使用,须保留本网站注明的“来源”,并自负版权等法律责任;作者如果不希望被转载或者联系转载稿费等事宜,请与我们接洽。