论文题目:Interfacial electric field effects enhance the kinetics and stability of magnesium metal anodes for rechargeable magnesium batteries
期刊:Advanced Powder Materials
DOI:https://doi.org/10.1016/j.apmate.2025.100335
微信链接:https://mp.weixin.qq.com/s/0-ZCcDeg78ylJ96YBI8o3w
一、文章摘要
可充电镁电池因其高理论容量而被认为是下一代储能系统的有前途的候选者。然而,Mg2+的不均匀沉积/剥离阻碍了可充电镁电池的实际应用。本研究设计的酞菁铜(CuPc)界面层在界面电场效应的驱动下,增强了镁阳极的动力学和稳定性。原位电化学阻抗谱结合弛豫时间分布分析表明,CuPc高度离域的电子云网络建立了低能垒电子传递途径,显著降低了电荷转移电阻。通过电化学表征和密度泛函理论计算证实界面电场效应通过增强电子离域和降低Mg2+迁移能垒,有效改善了Mg2+的界面扩散迁移。此外,有限元模拟证实,CuPc@Mg负极可以实现均匀的界面电荷分布和均匀的镁沉积。因此,具有CuPc@Mg的对称电池实现了长循环寿命(1400 小时)和高库仑效率(99.3%)。此外,CuPc@Mg||Mo6S8电池实现了高的容量保持率(92%)。这项工作强调了金属酞菁在稳定镁阳极方面的潜力。
二、研究背景
镁因其高体积容量(3833 mAh·cm-³)、低电极电位(-2.37 V vs. SHE)和地壳储量丰富等优势,被视为下一代高能量密度、安全可持续电池的理想负极材料。然而,可充电镁电池的实际应用仍面临严峻挑战,其主要问题在于镁负极在传统非水电解液中容易钝化,导致可逆性显著下降。尽管研究者们已通过开发新型电解液、引入添加剂、设计溶剂分子以及构建凝胶聚合物电解质等策略在一定程度上缓解了钝化,Mg2+的不均匀沉积/剥离行为却被忽视。这种不均匀性会引发镁枝晶的形成,而镁枝晶具有较高弹性模量(约27.1 GPa),远比锂枝晶坚硬,更容易刺穿隔膜,造成电池短路,严重影响电池的循环寿命与安全性。
镁的沉积过程受电场驱动,成核点的过电位和局部电场分布决定了镁是否能够实现均匀沉积。以往策略如界面修饰、结构设计或添加电解液添加剂等,虽然在一定程度上提升界面稳定性,却多集中于构建物理阻挡层,未能深入调控电极–电解质界面处的电场。本文将金属酞菁化合物——酞菁铜(CuPc)作为人工界面层修饰于镁金属表面(CuPc@Mg),借助其独特的共轭18π电子体系和Cu–N4活性中心的协同作用,构建了高度离域的电子云网络,有效调控界面电场分布,显著降低电荷转移势垒,促进镁离子的均匀传输与沉积。该工作为镁金属负极的实际应用提供了新思路,也为其他金属电池的界面设计带来了重要启示。
三、创新点
1.研究引入酞菁铜(CuPc)人工界面层,利用其大共轭π结构形成高度离域的电子云,有效增强界面电场效应,大幅提升了镁沉积/溶解的动力学稳定性和循环可逆性。
2.采用原位电化学阻抗谱(EIS)和弛豫时间分布(DRT)方法,动态识别镁金属界面处的离子迁移、电荷转移等关键动力学步骤,为理解界面稳定机制提供依据。
3.通过建模仿真直观证实,CuPc修饰层可均匀化电极/电解质界面电场,引导镁离子均匀扩散与沉积,提升电池安全性。
四、文章概述
1. CuPc@Mg负极的制备及表征
首先,在金属镁负极表面构建CuPc人工界面层,通过SEM图像可见,原始镁箔表面粗糙多划痕,而经CuPc溶液处理后的CuPc@Mg电极表面覆盖了一层均匀、致密的深蓝色保护层,形貌特征表明CuPc界面层的多孔网络一方面有利于电解质的润湿,另一方面,较大的比表面积有利于降低局部电流密度,抑制Mg枝晶的生长。EDX测试进一步证实C、N、Cu元素分布均匀。XRD与XPS分析也证实了镁负极表面经处理后上述物种的存在。CuPc独特的共轭18π电子体系和Cu–N4活性中心的协同作用,构建了高度离域的电子云网络,可以有效调控界面电场分布,显著降低电荷转移势垒,促进镁离子的均匀传输与沉积。

图 1.(a)CuPc@Mg阳极的制备工艺。(b)裸Mg和(c)CuPc@Mg的SEM图像。(d)高倍率SEM图像和相应的N(红色)、C(绿色)和Cu(黄色)元素映射。(e)原始CuPc粉末、Mg和CuPc@Mg的XRD光谱。(f)CuPc界面层的N 1s和(g)Cu 2p XPS光谱。
2. CuPc界面特性及动力学的影响
为探究CuPc界面层对电极界面特性及动力学的影响,进行了接触角测试,CuPc@Mg电极对电解液性的接触角(8.243°)显著低于原始镁电极(30.462°)。Tafel曲线显示其交换电流密度提高至3.390 μA·cm-2,远高于原始镁电极(0.901 μA·cm-2),表明界面反应动力学显著增强。DFT计算揭示CuPc界面处低的Mg²+迁移能垒有利于均匀沉积。采用开尔文探针力显微镜(KPFM)量化了CuPc/Mg界面的表面电位差,为界面电场效应提供了直接证据。KPFM测试表明CuPc@Mg的表面电位比裸镁低约200 mV,证实其电负性增强。CuPc的共轭π电子结构通过建立离域电子转移路径,提高了交换电流密度,显著降低了给定电流密度下的过电位。通过原位EIS与弛豫时间分布(DRT)分析,揭示了CuPc@Mg电极的界面动力学演变过程,为理解界面稳定机制提供依据。

图 2.(a)APC电解液在裸Mg和CuPc@Mg阳极上的接触角。(b)裸Mg和(c)CuPc@Mg阳极的对称电池在不同静置时间的的EIS图。(d)裸镁和CuPc@Mg阳极的Tafel测试。(e)裸Mg和CuPc@Mg 阳极的成核过电位。(f)Mg2+扩散途径和扩散能垒。(g-i)CuPc@Mg阳极的KPFM测试。(j)CuPc@Mg阳极组装的对称电池的原位EIS。(k)CuPc@Mg和(l)Mg阳极的相应DRT结果的等高线图。
3. CuPc界面改性镁的对称电池及不对称电池电化学性能
为了验证CuPc@Mg电极的优异性,评估了CuPc@Mg电极在不同电池配置中的电化学性能。CV曲线显示CuPc@Mg//Cu电池极化电压间隙较小,且电流响应更高,反映其高电化学活性。不对称电池测试中,CuPc@Mg//Ti电池在400次循环后库伦效率仍保持99.3%,明显优于原始镁电极(93.8%)。另外,对称电池也展现出优异的循环稳定性与界面可逆性。与过去报道的镁电池相比,我们的镁负极改性策略赋予电池优异的循环稳定性和电化学稳定性。

图 3.(a)裸Mg和CuPc@Mg阳极的CV曲线。(b)Mg||Ti不对称电池库仑效率和(c)容量-电压曲线。(d)对称电池的循环性能和(e)200-205圈放大的时间-电压曲线。(f)CuPc@Mg阳极的对称电池在5.0 mA cm-2的循环性能。(g)文献中报道的对称电池的过电位、电流密度和寿命的比较。
4. CuPc@Mg负极界面演化及作用机制分析
为了证实CuPc@Mg负极的优越性,通过原位光学显微镜原位观察镁沉积过程。在原始Mg表面发现微小的树枝状结构,并且随着沉积时间的增加,表面主要被粗糙的Mg枝晶覆盖。相反,CuPc@Mg阳极的电场效应消除了局部空间电荷聚集,增强了活性位点周围的电场,使Mg沉积均匀化。总体上,CuPc界面层展现出优异的稳定性,体现了导电聚合物界面在镁负极材料制备上的潜力。

图 4.(a)裸Mg和CuPc@Mg阳极在5 mA cm-2下的Mg电镀过程的原位显微镜图像。(b、c)裸Mg不同循环后的SEM图像。CuPc@Mg阳极在不同循环后的沉积态(d-f)和剥离态(g-i)的SEM图像。
使用有限元模拟(COMSOL Multiphysics)探究了不同沉积形貌对Mg2+通量分布和电场分布的影响。裸露的Mg表面粗糙无序导致电场局部集中,Mg2+在表面突起处积累。这种不均匀性会导致不均匀的沉积,从而促进枝晶的形成,而异常剥离会加剧这个问题。在重复的电镀/剥离循环中,这些现象会加速电极退化和电池故障。然而,CuPc@Mg表面和电解质高度区域底部之间表现出均匀的电场和电荷分布,有助于均匀的Mg2+通量和Mg2+沉积/剥离。通过CuPc界面层,实现了均匀的Mg2+沉积/剥离,这一成果展示了金属酞菁在镁金属负极的潜在应用价值。

图 5.关于不同沉积形貌对Mg2+通量和电场分布影响的COMSOL仿真。(a)裸Mg和(b)CuPc@Mg阳极中Mg2+通量和模拟电场分布的模拟。(c, e)裸Mg和(d, f)CuPc@Mg阳极的Mg2+沉积/剥离示意图。
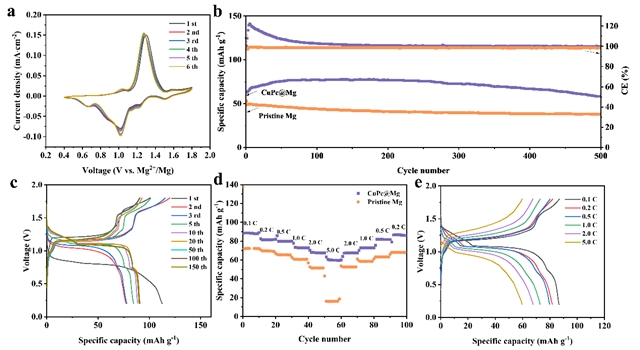
5. CuPc@Mg||Mo6S8全电池的循环性能
在全电池测试中,以Mo6S8为正极组装的CuPc@Mg||Mo6S8全电池在1C倍率下循环500圈后容量保持率达99.2%。CV曲线显示其具有高电流响应,反映高电化学活性和优异循环可逆性。倍率性能测试中,该电池在0.1C至5C不同电流下均表现出较高放电容量,证实CuPc@Mg负极适用于可充电镁二次电池,为金属镁负极界面改性开辟新途径。

图6.全电池的性能比较。(a)CuPc@Mg||Mo6S8电池CV曲线。(b)CuPc@Mg||Mo6S8和Mg||Mo6S8电池的长循环测试。(c)CuPc@Mg||Mo6S8电池不同循环圈数的容量-电压曲线。(d)倍率性能测试。(e)CuPc@Mg||Mo6S8电池不同倍率下的容量-电压曲线。
五、启示
本研究创新性地利用金属酞菁界面层调控界面电场,有效提升了镁金属电池负极的动力学和稳定性。结合理论计算与多尺度表征,阐明了CuPc通过离域电子云优化离子迁移路径、均匀化镁通量的机制。对称电池与全电池测试表明,改性负极显著延长循环寿命并提高库仑效率。该策略不仅深化了对界面电场作用机制的理解,也为发展高效、安全的镁电池及其他金属电池体系提供了新材料设计思路与理论支撑。
引用信息:Qi Sun, Shaohua Luo, Yicheng Lin, Xin Yan, Rui Huang, Qiuyue Liu, Shengxue Yan, Xiaoping Lin. Interfacial electric field effects enhance the kinetics and stability of magnesium metal anodes for rechargeable magnesium batteries. Adv. Powder Mater. 4(2025)100335. https://doi.org/10.1016/j.apmate.2025.100335

扫二维码 查看全文
原文链接:https://www.sciencedirect.com/science/article/pii/S2772834X25000715
特别声明:本文转载仅仅是出于传播信息的需要,并不意味着代表本网站观点或证实其内容的真实性;如其他媒体、网站或个人从本网站转载使用,须保留本网站注明的“来源”,并自负版权等法律责任;作者如果不希望被转载或者联系转载稿费等事宜,请与我们接洽。