|
|
|
|
|
FMD | 精彩荐读:低剂量羟氯喹与降低COVID-19死亡率相关:中国多中心研究 |
|
|
论文标题:Low dose of hydroxychloroquine is associated with reduced COVID-19 mortality: a multicenter study in China
期刊: Frontiers of Medicine
作者:Wu He, Ke Xu, Yongcui Yan, Gen Li, Bo Yu, Junfang Wu, Kaineng Zhong, Da Zhou, Dao Wen Wang
发表时间:15 Apr 2025
DOI: 10.1007/s11684-025-1123-9
微信链接:点击此处阅读微信文章
导 读
华中科技大学同济医院汪道文等在Frontiers of Medicine发表快报《低剂量羟氯喹与降低COVID-19死亡率相关:中国多中心研究》(Low dose of hydroxychloroquine is associated with reduced COVID-19 mortality: a multicenter study in China)。本研究对湖北省138家医院的53030例COVID-19患者数据进行了分析,结果显示,低剂量羟氯喹(<400 mg/d)与患者住院期间全因死亡率降低显著相关,而高剂量羟氯喹(≥400 mg/d)未显示此关联。
自2019年12月严重急性呼吸综合征冠状病毒2型(SARS-CoV-2)出现以来,新冠病毒病(COVID-19)已在全球范围内持续传播超过4年。根据世界卫生组织统计,全球累计感染人数超过7.75亿,死亡病例达700万,成为人类历史上破坏性最严重的公共卫生危机之一。在这场持续的抗疫斗争中,羟氯喹作为一种传统的抗疟药物,其潜在治疗价值引发了广泛关注。这种药物通过抑制Toll样受体信号、干扰溶酶体酸化、减少巨噬细胞产生的促炎细胞因子等多种机制调节免疫系统,并在体外实验中显示出比氯喹更强的抗病毒活性。尽管早期临床研究提示羟氯喹可能降低COVID-19患者的住院率,但部分研究和荟萃分析却得出中性或阴性结论,导致其临床应用存在争议。
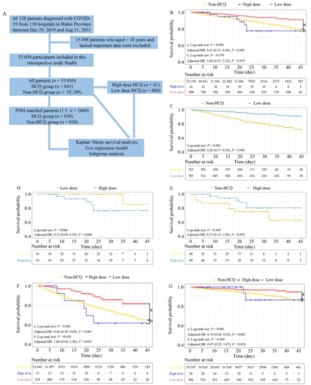
华中科技大学同济医院汪道文等开展了一项多中心回顾性研究,旨在明确不同剂量羟氯喹对COVID-19患者死亡率的影响。该研究已在临床试验平台注册(注册号:NCT05615792),共纳入湖北省138家医院在2019年12月29日至2021年8月31日期间收治的53030例COVID-19出院或死亡患者。研究团队按照是否使用羟氯喹将患者分为用药组和非用药组,并采用1:1倾向评分匹配(PSM)方法平衡两组间的混杂因素。用药组进一步根据每日剂量分为低剂量组(<400 mg)和高剂量组(≥400 mg),通过Kaplan-Meier生存曲线和多因素Cox回归模型分析了不同剂量对临床结局的影响。
研究结果显示,在53030例患者中,住院期间死亡3710例,其中羟氯喹组死亡46例,非羟氯喹组死亡3664例,两组差异具有统计学意义(P=0.001)。羟氯喹组中位住院时间为22天,显著长于非用药组的13天(P<0.001)。Kaplan-Meier生存曲线和Cox回归分析显示,羟氯喹用药组全因死亡率显著低于非用药组,倾向评分匹配分析进一步验证了这一结论。剂量分层分析揭示了更关键的发现:低剂量组死亡率显著低于非用药组,而高剂量组与非用药组之间无统计学差异。这一剂量效应差异在倾向评分匹配后的三组比较中更为清晰,低剂量组死亡率不仅低于非用药组,也显示出低于高剂量组的趋势(图1)。

图1 不同剂量羟氯喹对COVID-19患者死亡率的影响
按疾病严重程度分层后,无论是轻症还是重症患者,低剂量羟氯喹均表现出降低死亡率的关联,而高剂量组在两组患者中均未显示显著获益。针对合并基础疾病患者的分析发现,在心脏功能和肝功能受损的患者中,低剂量羟氯喹仍与较低死亡率相关。次要结局分析显示,低剂量用药还与减少有创机械通气需求、急性心脏损伤和急性肾损伤显著相关。
本研究为COVID-19的临床治疗提供了重要参考。研究结果明确了羟氯喹的剂量效应关系,解释了既往研究结论不一致的可能原因——高剂量可能引发心脏毒性等不良反应,从而抵消治疗益处。研究结果支持在COVID-19患者中早期使用低剂量羟氯喹,特别是对于轻症和重症患者均有保护作用,且在合并心肝基础疾病的人群中仍能获益。然而,研究存在一定局限性:作为回顾性研究,数据来源于临床数据库,部分实验室检查和影像学资料缺失;不同医院的治疗方案和数据质量存在差异;未探讨羟氯喹与其他药物(如阿奇霉素)的联合效应;研究人群局限于湖北省住院患者,可能限制了结果的外部有效性。
综上所述,这项多中心研究通过严谨的数据分析,证实了低剂量羟氯喹在降低COVID-19患者死亡率及重要器官损伤方面的临床价值。这一发现为解决羟氯喹治疗争议提供了关键证据,也为制定优化的给药方案奠定了基础。未来需要开展前瞻性临床试验,进一步验证低剂量羟氯喹的疗效和安全性,并探索其与其他药物的协同作用,以更好地应对仍在持续的全球疫情挑战。
原文信息
标题
Low dose of hydroxychloroquine is associated with reduced COVID-19 mortality: a multicenter study in China
作者
Wu He1, Ke Xu1, Yongcui Yan1, Gen Li1, Bo Yu1, Junfang Wu1, Kaineng Zhong2, Da Zhou2, Dao Wen Wang1
机构
1. Division of Cardiology, Department of Internal Medicine, Tongji Hospital, Tongji Medical College, Huazhong University of Science and Technology; Hubei Key Laboratory of Genetics and Molecular Mechanisms of Cardiological Disorders, Wuhan 430030, China
2. Health Commission of Hubei Province, Wuhan 430079, China
通讯作者
Dao Wen Wang
引用这篇文章
Wu He, Ke Xu, Yongcui Yan, Gen Li, Bo Yu, Junfang Wu, Kaineng Zhong, Da Zhou, Dao Wen Wang. Low dose of hydroxychloroquine is associated with reduced COVID-19 mortality: a multicenter study in China. Front. Med., 2025, 19(2): 386–390
https://doi.org/10.1007/s11684-025-1123-9
https://journal.hep.com.cn/fmd/EN/10.1007/s11684-025-1123-9
https://link.springer.com/article/10.1007/s11684-025-1123-9
感谢作者对Frontiers of Medicine的信任和支持。
期刊简介
Frontiers of Medicine是中国工程院院刊,由教育部主管,高等教育出版社、中国工程院与上海交通大学医学院附属瑞金医院共同主办。期刊聚焦医学前沿领域的学术进展,关注国际研究热点与中国优秀研究成果,主编为陈赛娟院士、张伯礼院士和王小凡院士。主要报道领域涵盖临床医学、基础医学、转化医学、流行病学、公共卫生、中医药学和人工智能医学等,刊载文章类型包括Research Article、Review、Perspective、Editorial、Case Report、Comment、Letter等。
期刊已被SCI、PubMed、Scopus、中国科技核心期刊、中国科学引文数据库(CSCD)核心库、第三批临床医学领域高质量科技期刊分级目录T1级、化学文摘数据库(CAS)等权威数据库收录,在2025中国科学院文献情报中心期刊分区表医学大类中位列二区。
在线浏览
https://journal.hep.com.cn/fmd
https://link.springer.com/journal/11684
投稿
https://mc.manuscriptcentral.com/fmd

《前沿》系列英文学术期刊
由教育部主管、高等教育出版社主办的《前沿》(Frontiers)系列英文学术期刊,于2006年正式创刊,以网络版和印刷版向全球发行。系列期刊包括基础科学、
、工程技术和人文社会科学四个主题,是我国覆盖学科最广泛的英文学术期刊群,其中12种被SCI收录,其他也被A&HCI、Ei、MEDLINE或相应学科国际权威检索系统收录,具有一定的国际学术影响力。系列期刊采用在线优先出版方式,保证文章以最快速度发表。
中国学术前沿期刊网
http://journal.hep.com.cn

特别声明:本文转载仅仅是出于传播信息的需要,并不意味着代表本网站观点或证实其内容的真实性;如其他媒体、网站或个人从本网站转载使用,须保留本网站注明的“来源”,并自负版权等法律责任;作者如果不希望被转载或者联系转载稿费等事宜,请与我们接洽。